【導讀】像傾斜傳感器ADIS16209(見 附錄)這樣的傳感器系統具有集成度高、規格全面的特點,采用緊湊型封裝,并且價格合理,使系統開發人員能夠輕松運用自己可能并不熟悉的傳感器技術,從而將成本和風險降至最低。由于精度是完全按給定的功率電平確定,因而似乎會約束開發人員降低功耗的能力。但是,對于必須嚴格管理能量使用的應用,采用周期供電的方式為降低平均功耗提供了突破口。本文將重點討論周期供電及其對總體功耗的影響。
我們中許多人都是在溫馨的家庭環境中長大的,但父母總會沖我們大喊:"離開房間時把燈關上!我們家不是開電廠的!"實際上,他們是在教會我們一項重要的能源管理方法——周期供電,一種在不需要某項功能時關閉其電源的過程,例如在不需要進行測量時關閉傳感器系統。這樣做能夠降低平均功耗,計算公式如下:

PON是系統處于正常工作狀態時的功耗。POFF是系統處于關閉狀態時的功耗。它與殘留電流相關,如電源調節器要維持功率開關或關斷模式所需的電流,其典型值在1 μA左右。開啟時間(TON)是傳感器系統開啟、進行所需測量并重新關閉所需的時間量。關閉時間 (TOFF)取決于系統需要進行傳感器測量的頻繁程度。如果關閉功率遠遠小于開啟 功率,則平均功耗實際上與占空比成正比。例如,如果關閉功率為零且占空比為10%,則平均功耗為正常工作功耗的10%。
傳感器系統綜述
傳感器可將溫度、加速度或應力等物理量轉變成電信號。為了合理使用這些電信號,傳感器元件需要一些支持功能,如激勵、信號調理、濾波、失調和增益調整以及溫度補償。高級傳感器產品還包括模數轉換,并在單封裝中提供所有這些功能,從而實現完整且經過校準的傳感器至數據位的轉換功能。這類產品無需用戶進行器件級設計或復雜表征與校正運算,能夠以更少的投入實現更短的設計周期。雖然高度集成的傳感器產品可減輕進行電路級設計決策的負擔,但如果希望利用周期供電來降低平均功耗,仍有必要了解其內部工作原理。
圖1顯示了許多完整傳感器系統相關的功能。每個傳感器元件都需要一個 接口電路來將元件中的物理變化轉換為標準信號處理器件可用的電信號。例如,電阻應變計就是應力改變時阻抗發生變化的電阻,常以橋接電路的形式(帶激勵功能)將可變電阻轉換成電信號。另一個例子是集成式微機電系統 (iMEMS®)慣性傳感器,如加速度計和陀螺儀。它們采用小型結構,通過極板間位移改變導致電節點間電容改變,從而對慣性運動變化做出響應。可變電容元件的接口電路一般使用調制級和解調級組合,將電容變化轉變成電信號。

1. 傳感器系統示例
緩沖級為模數轉換器 (ADC)的輸入級準備信號,可包括電平轉換、增益、失調校正、緩沖和濾波功能。傳感器信號經過數字化處理之后,數字處理功能便進一步增加信息值。數字濾波, h(n)則可降低噪聲,重點關注目標頻帶。例如,機器健康狀況檢測系統可能通過一個帶通濾波器來關注與一般機械裝置磨損相關的頻率特征。其他需要穩定的直流基準電壓的傳感器可能傾向于使用低通濾波器。
由于系統中很多其他器件的影響,傳感器精度可能有很大的差異。為了收縮誤差分布并提高測量確定性,傳感器系統通常包括一個校準程序,以確定各傳感器在已知激勵和條件下的特性,并提供特定單位公式來校正在所有預期工作條件范圍內輸出。最終處理級f(n)代表特定處理,例如用于將加速度計的靜態地心引力測量轉變成方位角的三角關系。
周期供電考慮因素
評估傳感器系統中周期供電的有效性時,設計人員必須明確采集有用數據所花的時間。圖2顯示供電時一個典型的傳感器系統響應。TM是測量時間,TC是周期時間。測量時間取決于啟動時間T1、建立時間T2和數據采集時間T3.
啟動時間 取決于系統處理器,以及支持傳感器數據采樣和信號處理操作所必須運行的初始化程序。使用高度集成的傳感器系統時,通常產品文檔中會規定啟動時間。此類產品有時會提供休眠 模式,其啟動時間更快,但代價是其斷電功耗比關斷模式要高。
建立時間 可包括傳感器、接口電路、濾波器和物理器件的電氣特性建立時間,以及熱建立時間和機械建立時間。某些情況下,這些過渡特性在上電時間內建立,因此對總體測量時間影響很小,甚至沒有影響。但是,分析這些特性的最保守方法是假設這些情形是依次發生的,除非進一步分析研究可以支持更有利的同時啟動和建立假設。
數據采集時間取決于所需數據樣本的數量、系統處理器讀取數據的速度,以及精確數據采集準備就緒后處理器可以開始工作的時間。

圖2. 周期供電期間的傳感器響應
分析示例
本示例通過評估一個完全集成的MEMS傾斜傳感器來確定影響精度和測量時間的參數,從而明確功率與性能的重要關系。以下四個步驟對此過程提供了簡單的指引:
● 了解傳感器的工作原理。
● 通過產品文檔獲取相關信息。
● 評估未明確規定的重要參數。
● 推算出功率與性能的關系。
1. 了解工作原理
示例的傾斜傳感器系統與圖1中的通用系統非常相似。MEMS加速度計包括傳感器元件和接口電路。加速度計信號通過一個單極點低通濾波器,該濾波器將信號帶寬限制在50 Hz。模數轉換器以200 SPS的采樣率運行,并將其輸出送入數字處理級。數字處理功能包括一個均值濾波器、溫度驅動器校正公式、將靜態加速度計讀數轉變成傾斜角的數學函數、用戶接口寄存器和一個串行接口。
假設偏置誤差為零,當加速度計的測量軸與重力方向垂直時,其輸出將為零。其測量軸與重力方向平行時,將產生 +1 g 或 –1 g的輸出,極性取決于方向。靜態加速度計測量與傾斜角之間的關系是一個簡單的正弦或正切函數,如圖3所示。這里的分析重點考慮水平模式(正弦)。

圖3. MEMS傾斜傳感器工作原理
2.通過產品文獻獲取相關信息
表1列出了影響高級傳感器系統周期供電的參數。這些參數一部分可從產品數據手冊獲得,而其他參數需要針對終端系統性能目標進行分析。PON 和T1 是數據手冊提供的參數。其余參數可用于估計T2 和 T3。關閉模式功率得自線性調節器的關斷電流。
表1. 傳感器系統技術指標

3. 利用經驗假設來量化其余影響因素
建立時間影響一個傳感器系統能夠支持的精度和測量速率。許多不同的因素都會影響建立時間,但這里重點分析電的因素。估計建立時間需要性能目標、部分重要假設和一個用于分析傳感器對供電響應的模型。第一項重要假設是濾波器在初始啟動周期(上電時間)之后建立。雖然這兩個周期可以同時進行,但以連續發生的方式著手分析是更為保守的方法。圖4提供分析傳感器對供電響應的簡化模型。

圖4. 建立時間分析的模型
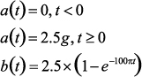
供電后,加速度計傳感器的輸出a(t)呈現階躍響應。因為傳感器采用單電源供電,其輸出很可能會從零開始,并迅速轉變至確定其方位的電平。為簡明起見,假定零輸出與最低有效加速度水平相對應。這種情況下,我們采用–2 g加速度,以便在最小額定值 –1.7 g的基礎上提供一些裕量。同時,最大傾斜范圍為+30°,相當于+0.5 g。將這兩個間隔結合,加速度計信號在啟動時可進行的最大轉換為+2.5 g。單極點、低通濾波器的階躍響應b(t)可通過以下公式獲得:

包括數字濾波器的模型需要離散形式的b(t), 以及一個總和模型來仿真濾波器。

建立時間是在規定精度AE范圍內穩定到最終值所需的時間。圖5顯示兩條瞬態響應曲線,指示每條曲線達到0.1 g精度所需的建立時間。

圖5. 上電瞬態響應
本例中,誤差預算允許0.2°的建立精度。正弦公式提供一種將此目標轉變成加速度衡量指標的簡單方法。
使用諸如Excel或MATLAB之類的工具對此公式進行建模將非常簡單。如果使用Excel,輸出在N = 16時的第18次采樣和N = 64時的第65次采樣達到距 0.5 g約3 mg內的水平。將這些數值分別除以采樣速率(200 SPS),可針對21 ms (N = 1)、90 ms (N = 16)和325 ms (N = 64)這些設置提供建立時間估計值。假設熱建立的相關誤差可忽略不計(如合理的話)。因為所考量的器件提供了溫度校準響應,所以這一假設應該可以接受。驗證此假設為在最終表征過程中確認精度提供了好機會。
此類系統的數據采集時間 T3不需要超過一個采樣周期,因為所有必需的校正和濾波都在器件內部實現。采集時間只會使總體測量時間增加5 ms。
4.使功耗與周期時間相關
此分析的最后一部分與平均功耗和周期時間有關,周期時間實際上等于各測量事件之間的時間量。表2總結了重要的周期供電因素,包括傳感器數據手冊中規定或通過該簡單分析過程產生的因素,以及完全啟動(周期供電)和休眠模式恢復(周期休眠)的次數。
表2. 關鍵周期供電參數匯總

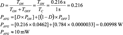
下面通過計算舉例說明,如何使用這些參數來分析和比較一個要求測量速率為1 SPS的系統的周期供電和周期休眠。
周期供電:

周期休眠:

這里的周期休眠非常有利。但是,如果將周期時間增加至每分鐘采樣一次(TC = 60 s),周期供電方式的平均功耗會是0.2 mW,而周期休眠方式為1.2 mW。圖6所示為周期時間與平均功耗的關系。

圖6. 周期時間與平均功耗的關系
休眠模式保留全部初始化值,同時關閉系統其余部分。盡管保持這些設置需要一定功率,但恢復時間要比完全啟動更快。傾斜傳感器ADIS16209具有可編程休眠時間和自動喚醒功能。這種解決方案非常適用于那些具有數據就緒信號喚醒功能的主處理器,在讀取所需數據后命令傳感器再次在另一個固定的周期內重新處于休眠模式。使用休眠模式的另一MEMS產品實例是振動傳感器ADIS16223,該傳感器收集并儲存振動數據,自動返回至休眠模式,然后啟動對另一測量事件的倒計時。這種傳感器非常適合需要進行周期性監控的系統,無需分配處理器資源來管理休眠模式和數據收集模式。
這里通過簡單分析提供了部分有用的深度信息。具體而言,在某些情況下,不管休眠模式需要多少功率,通過休眠模式管理仍然能夠實現節能。在上述示例中,需要以1 SPS速率進行傾斜測量的系統采用休眠模式,省電能力提高了4倍。此處,休眠模式針對最高6 s的測量周期時間可實現節能。對于測量周期時間更長的系統,與關斷性能相關的功率開銷更低,從而使得平均功率電平更低。
結論
無論是出于經濟還是環保原因,降低功耗的要求都很普遍。降低功耗可以減小功率轉換器、電池和太陽能電池等電源的尺寸和成本。其他潛在好處還包括降低熱和機械設計要求,降低EMI輻射,有利于環境影響評級。
對于重視高集成度傳感器產品但又不得不考慮盡可能降低功耗的工程師而言,本文提到的概念和分析方法提供了一個很好的起點。更重要的是,因為每種系統設計都存在新的機會與風險,所以確定并分析影響總體功率目標特性的相關思考過程將更加重要。完成初始分析之后,或許一句俄羅斯諺語"Доверяй, нопроверяй`"("信任,但要確認")最能說明該如何確保最終成功實現。要跟蹤重要假設,例如建立精度(3 mg)及熱建立因素是否會有影響。如果有合適的硬件,要在盡可能匹配其預期使用條件的情況下測試這些解決方案。最后,測試這些假設將增加自信,并可調整改善新假設,以用于今后的電源管理方法分析。
附錄
iSensor® 雙軸傾斜計ADIS16209圖A)的數字輸出在±180°的范圍內與平行于重力方向(垂直模式)的一個平面的旋轉角成正比,或在±90°的范圍內與重力方向正切(水平模式)的兩個平面的旋轉角成正比。片內ADC對iMEMS®加速度計、內部溫度傳感器、電源的輸出和一個輔助模擬輸入進行數字化,并通過SPI兼容接口提供數據。靈敏度、采樣速率、帶寬和報警閾值均支持數字編程。該器件具有完整的功能,還包括一個12位輔助DAC、2.5 V精密基準電壓、數字自測功能和可編程電源管理。ADIS16209采用3.0 V至3.6 V的單電源供電,快速模式下功耗為36 mA,標準模式下為11 mA,休眠模式下為140 μA。它采用16引腳LGA封裝,額定溫度范圍為–40°C至+125°C。

圖A. ADIS16209框圖
iSensor®數字振動傳感器ADIS16223(圖B)集±70 g單軸iMEMS® 加速度計與靈活的低功耗信號處理器于一體,22 kHz傳感器帶寬和72.9 kSPS采樣速率非常適合機器健康狀況檢測應用,均值/抽取濾波器則可針對低帶寬應用進行優化。這款器件可以利用自動、手動或事件捕獲三種數據采集模式,分別從三個軸捕獲并存儲1k樣本。它還能測量溫度和電源電壓,捕捉峰值,并提供條件報警功能。ADIS16223采用3.15 V至3.6 V單電源供電,捕捉模式下功耗為38 mA,休眠模式下為230 μA。它采用16引腳LGA封裝,額定溫度范圍為–40°C至+125°C。

圖B. ADIS16223框圖
推薦閱讀:






