【導讀】人類在無線通信的實踐過程中使用信號調制的方式來將傳遞的信號的頻譜搬移到高頻,通過天線完成電磁波的發送與接收。這種信號調制方式作為信號頻譜分析的應用,也是信號與系統課程中的重要內容。

▲ 無線通訊方式及其天線
本文對信號幅度調制和解調進行討論。通過公式、波形、頻譜分析對幅度調制中的混疊現象進行描述。
幅度調制
信號調制中,幅度調制形式簡單,應用廣泛。在形式可以描述成信號
與載波信號
的乘積關系。在實際工程中,載波信號的頻率
通常遠大于信號
的最高頻率。后期通過同步解調方式,可以從調制信號中恢復出原來的信號。
下面公式描述了幅度調制(載波抑制調幅)的過程:

實現的系統框圖顯示如下:

▲ 信號幅度調制的系統框圖
下面通過波形顯示了幅度正弦調制的過程。其中信號
的頻率為1kHz,載波的頻率為30kHz。這樣選擇只是為了能夠從波形上還可以看出兩個信號的波形。實際中往往載波的頻譜
比調制信號
的頻率高出兩三個數量級以上。


▲ 載波信號與低頻調制信號
下圖顯示了信號
與載波信號
相乘之后的調幅波形。

▲ 幅度調制信號
幅度調制后的信號頻譜是原來信號的頻譜分別左右搬移到載波頻率附近的位置,形成高頻信號。下面顯示了前面正弦信號調制后的頻譜。

▲ 載波抑制幅度調制信號的頻譜
下面顯示了對高斯信號調制后的信號波形:


▲ 調制信號與載波信號
高斯信號條幅后的波形如下圖所示。它對應的頻譜與前面正弦波調制后的頻譜相比只是將原來的一對沖激頻譜改成了高斯信號頻譜。這是由于高斯信號的傅里葉變換也是高斯信號。

▲ 高斯信號調制后的波形

▲ 高斯信號調制信號頻譜示意圖
同步解調
相比與普通調幅信號,這種載波抑制的調幅需要使用同步檢波的方式來解調。具體過程通過數學描述如下:

下圖顯示了同步解調的過程以及各部分的波形。

▲ 同步解調的過程波形圖
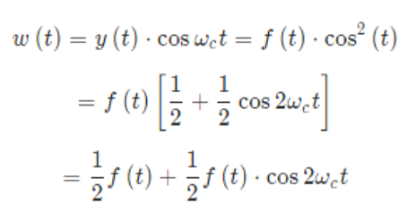
對于前面給出的實驗波形,下面繪制出了信號乘以載波之后的波形。可以看出,其中的低頻分量就是被調制的信號。

▲ 調幅信號乘以載波信號以及其中的低頻信號

▲ 高斯信號同步解調后的波形
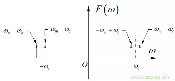
頻率混疊
在前面講述信號的幅度調制與解調過程中,都是假設信號的頻譜遠遠小于載波的頻率。這樣信號被調制后,它的頻譜搬移到高頻時,左右的頻譜之間沒有重疊。但是如果調制頻譜低,小于信號中最高頻率,那么調制后的信號頻譜中,左右兩個搬移后的頻譜之間就會有混疊。這就為后面進行信號恢復埋下了隱患。
下面將前面實驗中載波的頻率從原來的30kHz,降低到0.5kHz,給出對應的調制波形。


▲ 高斯信號與低頻的載波信號

▲ 高斯信號低頻調幅后的波形
同樣使用同步解調,所得到的信號中,信號本身
與兩倍頻調制的信號
之間頻譜也同樣存在著混疊,這樣就會使得低通濾波器無法將信號本身恢復出來了。
下圖顯示了上面調幅信號與載波信號相乘之后的結果(藍色的AM曲線),對比原來的高斯信號(橙色Low Frequency曲線),可以看出使用普通的低通濾波器很難從藍色曲線恢復出橙色曲線了。

▲ 調幅信號與載波信號乘積之后的信號

▲ 高斯調制信號頻譜混疊示意圖
復震蕩信號調制
為了避免幅度調制后的頻率混疊帶來信號恢復的困難,在實踐中,可以采用復震蕩信號調制的方式。也就是將原來的信號調制在一對相位相差90°(正交)的載波信號上,形成一對正交調制信號。在數學上,可以將這對信號看成復數的實部和虛部,所組成的復值信號的頻譜則是原來信號的頻譜往右平移,自然就沒有了混疊的問題。

▲ 復震蕩信號調制框圖
下面公式表示復指數震蕩信號的調制的過程:

下圖顯示了上面復指數調制后的實部、虛部兩路信號波形。

▲ 復指數調制后的兩路波形
如果需要恢復出原來的信號,則將原來的信號乘以前面復震蕩信號的共軛信號
,所生成信號的實部就是恢復的原來信號了。
根據復數的乘法運算,復數乘積的實部等于原來兩個復數的實部相乘,減去虛部相乘的結果。
因此對應的復指數震蕩信號同步解調過程就是:

下圖顯示了使用復指數調制后的實部和虛部分別與
相乘之后的波形(藍色,橙色),他們相加之后的波形(綠色)就是回復后的高斯波形。

▲ 進行復指數回復后的波形
如果信號f(t) 的幅值始終大于零0,即f(t)≥0,那么從復震蕩調制信號恢復原來信號還可以簡單的通過求復調制信號的幅度來恢復:
推薦閱讀:





