【導讀】眾所周知,調制和解調是通信基本業務流程中的重要組成部分。沒有它們,我們的移動通信根本無法實現。
說到調制,我想很多同學馬上會聯想到這些關鍵詞:BPSK、QPSK、調幅、調相、QAM、星座圖……

眾所周知,調制和解調是通信基本業務流程中的重要組成部分。沒有它們,我們的移動通信根本無法實現。
那么,究竟什么是調制?為什么要調制?5G又是怎么調制的呢?
接下來,我們逐一介紹。
調制是做什么用的呢?
讓我們看一下生活中的一個例子:
我們每天都在出行。出行的時候,我們會根據行程選擇適合的交通工具。

乘坐不同的交通工具,出行的速度也會有快有慢。
整個過程,大概就是這樣一個模型:

實際上,通信系統和這個模型類似。上面的出行模型,是把人從出發點運輸到目的地。而通信系統,是把數據信號從發送端傳輸到接收端。
我們進行以下轉換:

就可以類比出一個簡單的通信模型:

看出來了吧?“調制”,就像為信號找一個交通工具,讓它載著信息穿過信道到達目的地。
我們知道,在無線信道中,信號是以電磁波的形式傳遞的。
那么,電磁波怎么來傳遞信息呢?
我們先來舉一個“用水果傳遞信息”例子。
例如,我們要傳遞0和1,可以讓蘋果代表0,香蕉代表1。
我們發送給接收端,接收方收到后一看是蘋果就知道是發送的是0,一收到香蕉,就知道發送的是1。

換一種方式,如果只能用蘋果來傳遞信息呢?
我們約定讓紅蘋果代表0,綠蘋果代表1。
接收方一看是紅蘋果,就知道是發送的是0。收到綠蘋果,就知道發送的是1。

再換一種方式。如果只有紅蘋果,怎么傳遞信息呢?

我們可以用大的紅蘋果來代表0,小的紅蘋果代表1。一看是大紅蘋果,就知道是發送的是0。收到小紅蘋果,就知道發送的是1。
在這個過程中,我們其實用的是水果的種類、顏色、大小這3個特征來傳遞信息的。
類似的,電磁波可以用正弦波來描述。一個正弦波也有3大特征,幅度,相位,頻率。我們可以利用電磁波的這3大特征來傳遞信息。

下面的公式(1),描述了一個正弦波信號:

所謂調幅、調頻、調相,就是下圖的樣子:

看出來了沒?0和1,被“調”進了不同的電磁波波形之中。
5G速度那么快,它是怎么調制的呢?
在3GPP協議(TS 38.201)中,定義了5G支持的調制方式如下:

按照使用的載波的特征的不同,5G采用的調制方式可以分為兩大類:
載波的相位變化,幅度不變化:π/2-BPSK, QPSK。這就是前面說的PSK(Phase-Shift keying相移鍵控)。
載波的相位和幅度都變化:16QAM, 64QAM,256QAM。這一類專業名詞叫做QAM(Quadrature Amplitude Modulation,正交振幅調制)。
星座圖
各種調制方式之間的差異,還是不太容易理解。
想一想,為什么我們能很容易區分各種水果的不同?(什么是蘋果,什么是香蕉,什么是紅蘋果,什么是大蘋果。)
這是因為我們見過實物,看到過不同狀態的水果。
那么,我們能不能把調制方式也用圖表示起來呢?
可以。
為了直觀的表示各種調制方式,我們引入一種叫做星座圖的工具。星座圖中的點,可以指示調制信號的幅度和相位的可能狀態。



BPSK定義了2種相位,分別表示0和1,因此BPSK可以在每個載波上調制1比特的信息。


π/2-BPSK是BPSK在序列的奇數位時調制信號相位偏移π/2,序列的偶數位時和BPSK調制信號的相位一樣,也就是π/2-BPSK定義了4種相位來表示0和1。

QPSK全稱是正交相移鍵控,它定義了4個不同的相位,分別表示00、01、10、11,因此QPSK可以在每個載波上調制2比特的信息。

16QAM:一個符號代表4bit。

64QAM:一個符號代表6bit。

256QAM:一個符號代表8bit。
來個動圖,幫助理解:

QAM示意圖(來自cisco)從星座圖中可以看出PSK調制信號的幅度不變,相位有變化。QAM調制信號的幅度和相位在變化。
正是因為每個符號能代表的bit數不斷提升,使得攜帶的信息量提升,最終讓這個“交通工具”能顯著提升速率。
可能大家覺得5G好像也不是很難的樣子嘛。既然我們已經有了通信模型和星座圖兩大法寶,是不是可以自己打造一套下一代通信系統出來呢?
Hoho,你以為256QAM就是那么簡單就搞出來的嗎?
上圖!

3GPP 38.211協議中定義的5G調制方式的映射關系
懵圈了!有木有?
通信搞到最后,都是數學!
調制和解調原理
我們再簡單講一下調制和解調的原理。
5G的各種調制方式,都可以使用IQ調制解調來實現。
我們從公式1出發,進行各種神奇的公式轉換。
將公式2畫成框圖,這個就是IQ調制:

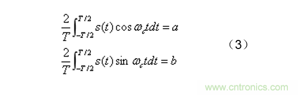
解調是把接收到的調制信號提取出來的過程,調制信號經過解調轉換為原始的信號。解調的過程可以通過下面的公式來解釋。

通過公式3可以看到,接收信號在乘以對應相位的載波后,進行積分,可以得到原始的信號,將公式3畫成框圖,這個就是IQ解調。

將2個框圖結合起來,我們下面給出IQ調制和解調的框圖。

IQ調制可以用復數的形式進行理解。
調制的公式描述:
解調的公式描述:

對應的我們給出復數形式的框圖。

這個框圖搭配上前面3GPP協議里面的5G調制映射關系,就是一個較為完整的5G的調制和解調過程。
免責聲明:本文為轉載文章,轉載此文目的在于傳遞更多信息,版權歸原作者所有。本文所用視頻、圖片、文字如涉及作品版權問題,請聯系小編進行處理。


