【導讀】獨石電容(多層陶瓷電容,MLCC)作為電子系統的“血液”,承擔著濾波、儲能、耦合等關鍵功能。2025年全球MLCC市場規模預計突破180億美元,其中新能源汽車與5G基站貢獻35%的需求增長。面對村田、三星電機等國際巨頭,以及風華高科、宇陽科技等國內廠商的競逐,工程師如何權衡性能、成本與供應鏈穩定性?本文通過技術參數拆解與多維度數據對比,提供一套工程級選型方法論。
獨石電容(多層陶瓷電容,MLCC)作為電子系統的“血液”,承擔著濾波、儲能、耦合等關鍵功能。2025年全球MLCC市場規模預計突破180億美元,其中新能源汽車與5G基站貢獻35%的需求增長。面對村田、三星電機等國際巨頭,以及風華高科、宇陽科技等國內廠商的競逐,工程師如何權衡性能、成本與供應鏈穩定性?本文通過技術參數拆解與多維度數據對比,提供一套工程級選型方法論。
一、技術定義與核心原理
獨石電容(MLCC) 是通過多層陶瓷介質與內部金屬電極交替堆疊制成的高密度電容,其命名源于“單一陶瓷塊”(Monolithic)結構,具有體積小、容值高的特點。
工作原理
●介電效應:鈦酸鋇(BaTiO3)等陶瓷材料在電場作用下極化,存儲電荷。
●結構優勢:通過層數增加(可達1000層以上)與層厚縮減(至1μm以下),實現高容值(μF級)與低ESR(<10mΩ)。
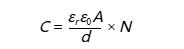
技術公式:
C=dεrε0A×N
●εr:介電常數(X7R≈2000,C0G≈100)
●N:疊層數量
二、獨石電容的四大核心優勢
三、應用場景與性能需求映射
四、成本與供應鏈深度解析
國際與國內頭部廠商對比
數據來源:Paumanok 2025年MLCC市場報告、中國電子元件行業協會(CECA)
五、工程選型六大黃金法則
1. 介質類型優先匹配場景
●C0G(NP0) :高頻、低損耗(5G射頻、振蕩電路),溫漂±30ppm/℃。
●X7R/X5R:通用濾波(電源模塊),溫漂±15%/-15%~+85℃。
●Y5V:低成本儲能(消費電子),溫漂-82%~+22%。
2. 耐壓裕量設計
●工業場景:實際工作電壓≤50%額定電壓(如50V系統選100V型號)。
●消費電子:可放寬至80%額定電壓。
3. 尺寸與散熱權衡
●高頻場景選擇小尺寸(0201/0402)以降低寄生電感;高功率場景選擇大尺寸(1206)以增強散熱。
4. 車規級認證要求
●AEC-Q200認證必須項:溫度循環(-55~150℃,1000次)、機械振動(20G,3軸向)。
5. 國產替代策略
●替代路徑:風華高科FG系列可替代村田GRM系列(容差±10% vs ±5%,價格低40%)。
●風險控制:關鍵位置(如ECU供電)保留雙品牌冗余設計。
6. 成本優化模型
●總擁有成本(TCO) =采購成本+失效成本(更換、停產損失)。
●案例:某充電樁企業用風華高科替代三星電機,單顆成本降0.02美元,年采購成本節省120萬美元,失效率僅增加0.02%。
六、未來趨勢與技術突破
1. 超高容技術:村田發布0.1μF/0201(層厚0.3μm),推動TWS耳機進一步小型化。
2. 柔性MLCC:三星開發可彎曲電容(曲率半徑2mm),適配折疊屏手機與柔性PCB。
3. AI輔助制造:風華高科引入機器學習優化燒結工藝,良率提升12%。
結語:從跟隨到超越的中國MLCC突圍之路
在“缺芯潮”與供應鏈本土化的雙重驅動下,中國MLCC廠商正通過工藝創新與差異化競爭,逐步打破國際壟斷。工程師需跳出“唯參數論”,通過系統級成本建模與場景化驗證,實現性能與商業價值的最大化平衡。
推薦閱讀:
基于龍芯1D的智能水表,無機械結構+NB-IoT遠程監測技術解析






