中心議題:
- 功率器件IGBT的工作特性分析
- 驅動要求、保護方法
- 對兩個IGBT(同一橋臂)的互鎖
驅動高壓大功率IGBT的解決方案:
- 可驅動高壓大功率IGBT的集成驅動模塊HCPL-3I6J
摘 要:通過對功率器件IGBT的工作特性分析、驅動要求和保護方法等討論,介紹了的一種可驅動高壓大功率IGBT的集成驅動模塊HCPL-3I6J的應用
關鍵詞:IGBT;驅動保護電路;電源
0 引言
IGBT在以變頻器及各類電源為代表的電力電子裝置中得到了廣泛應用。IGBT集雙極型功率晶體管和功率MOSFET的優點于一體,具有電壓控制、輸入阻抗大、驅動功率小、控制電路簡單、開關損耗小、通斷速度快和工作頻率高等優點。
但是,IGBT和其它電力電子器件一樣,其應用還依賴于電路條件和開關環境。因此,IGBT的驅動和保護電路是電路設計的難點和重點,是整個裝置運行的關鍵環節。
為解決IGBT的可靠驅動 問題,國外各IGBT生產廠家或從事IGBT應用的企業開發出了眾多的IGBT驅動集成電路或模塊,如國內常用的日本富士公司生產的EXB8系列,三菱電 機公司生產的M579系列,美國IR公司生產的IR21系列等。但是,EXB8系列、M579系列和IR21系列沒有軟關斷和電源電壓欠壓保護功能,而惠 普生產的HCLP一316J有過流保護、欠壓保護和1GBT軟關斷的功能,且價格相對便宜,因此,本文將對其進行研究,并給出 1700V,200~300A IGBT的驅動和保護電路。
1 IGBT的工作特性
IGBT是一種電 壓型控制器件,它所需要的驅動電流與驅動功率非常小,可直接與模擬或數字功能塊相接而不須加任何附加接口電路。IGBT的導通與關斷是由柵極電壓UGE來 控制的,當UGE大于開啟電壓UGE(th)時IGBT導通,當柵極和發射極間施加反向或不加信號時,IGBT被關斷。
IGBT與普通晶體三極管一樣,可工作在線性放大區、飽和區和截止區,其主要作為開關器件應用。在驅動電路中主要研究IGBT的飽和導通和截止兩個狀態,使其開通上升沿和關斷下降沿都比較陡峭。
2 IGBT驅動電路要求
在設計IGBT驅動時必須注意以下幾點:
1)柵極正向驅動電壓的大小將對電路 性能產生重要影響,必須正確選擇。當正向驅動電壓增大時,.IGBT的導通電阻下降,使開通損耗減小;但若正向驅動電壓過大則負載短路時其短路電流IC隨 UGE增大而增大,可能使IGBT出現擎住效應,導致門控失效,從而造成IGBT的損壞;若正向驅動電壓過小會使IGBT退出飽和導通區而進入線性放大區 域,使IGBT過熱損壞;使用中選12V≤UGE≤18V為好。柵極負偏置電壓可防止由于關斷時浪涌電流過大而使IGBT誤導通,一般負偏置電壓選一5V 為宜。另外,IGBT開通后驅動電路應提供足夠的電壓和電流幅值,使IGBT在正常工作及過載情況下不致退出飽和導通區而損壞。
2)IGBT快速開通和關斷有利于提高工作頻率,減小開關損耗。但在大電感負載下IGBT的開關頻率不宜過大,因為高速開通和關斷時,會產生很高的尖峰電壓,極有可能造成IGBT或其他元器件被擊穿。
3)選擇合適的柵極串聯電阻RG和柵射電容 CG對IGBT的驅動相當重要。RG較小,柵射極之間的充放電時間常數比較小,會使開通瞬間電流較大,從而損壞IGBT;RG較大,有利于抑制 dvce/dt,但會增加IGBT的開關時間和開關損耗。合適的CG有利于抑制dic/dt,CG太大,開通時間延時,CG太小對抑制dic/dt效果不 明顯。
[page]
4)當IGBT關 斷時,柵射電壓很容易受IGBT和電路寄生參數的干擾,使柵射電壓引起器件誤導通,為防止這種現象發生,可以在柵射間并接一個電阻。此外,在實際應用中為 防止柵極驅動電路出現高壓尖峰,最好在柵射間并接兩只反向串聯的穩壓二極管,其穩壓值應與正負柵壓相同。
3 HCPL-316J驅動電路
3.1 HCPL-316J內部結構及工作原理
HCPL-316J的內部結構如圖1所示,其外部引腳如圖2所示。


從圖1可以看出,HCPL-316J可分為輸入IC(左邊)和輸出IC(右邊)二部分,輸入和輸出之間完全能滿足高壓大功率IGBT驅動的要求。
各引腳功能如下:
腳1(VIN+)正向信號輸入;
腳2(VIN-)反向信號輸入;
腳3(VCG1)接輸入電源;
腳4(GND)輸入端的地;
腳5(RESERT)芯片復位輸入端;腳6(FAULT) 故障輸出,當發生故障(輸出正向電壓欠壓或IGBT短路)時,通過光耦輸出故障信號;
腳7(VLED1+)光耦測試引腳,懸掛;
腳8(VLED1-)接地;
腳9,腳10(VEE)給IGBT提供反向偏置電壓;
腳11(VOUT)輸出驅動信號以驅動IGBT;
腳12(VC)三級達林頓管集電極電源;
腳13(VCC2)驅動電壓源;
腳14(DESAT) IGBT短路電流檢測;
腳15(VLED2+)光耦測試引腳,懸掛;
腳16(VE)輸出基準地。
其工作原理如圖1所示。若VIN+正常輸入,腳14沒有過流信號,且VCC2-VE=12v即輸出正向驅動電壓正常,驅動信號輸出高 電平,故障信號和欠壓信號輸出低電平。首先3路信號共同輸入到JP3,D點低電平,B點也為低電平,50×DMOS處于關斷狀態。此時JP1的輸入的4個 狀態從上至下依次為低、高、低、低,A點高電平,驅動三級達林頓管導通,IGBT也隨之開通。
若IGBT出現過流信號(腳14檢測到 IGBT集電極上電壓=7V),而輸入驅動信號繼續加在腳1,欠壓信號為低電平,B點輸出低電平,三級達林頓管被關斷,1×DMOS導通,IGBT柵射集 之間的電壓慢慢放掉,實現慢降柵壓。當VOUT=2V時,即VOUT輸出低電平,C點變為低電平,B點為高電平,50×DMOS導通,IGBT柵射集迅速 放電。故障線上信號通過光耦,再經過RS觸發器,Q輸出高電平,使輸入光耦被封鎖。同理可以分析只欠壓的情況和即欠壓又過流的情況。
[page]
3.2驅動電路設計
驅動電路及參數如圖3所示。
HCPL-316J左邊的 VIN+,FAULT和RESET分別與微機相連。R7,R8,R9,D5,D6和C12 起輸入保護作用,防止過高的輸入電壓損壞IGBT,但是保護電路會產生約1µs延時,在開關頻率超過100kHz時不適合使用。Q3最主要起互鎖作用,當 兩路PWM信號(同一橋臂)都為高電平時,Q3導通,把輸入電平拉低,使輸出端也為低電平。圖3中的互鎖信號Interlock,和Interlock2 分別與另外一個316J Interlock2和Interlock1相連。R1和C2起到了對故障信號的放大和濾波,當有干擾信號后,能讓微機正確接受信息。
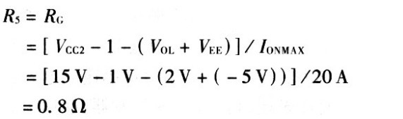
在輸出端,R5和C7關系到IGBT開通的快慢和開關損耗,增加C7可以明顯地減小dic/dt。首先計算柵極電阻:其中ION為開通時注入IGBT的柵極電流。為使IGBT迅速開通,設計,IONMAX值為20A。輸出低電平VOL=2v。可得

C3是一個非常重要的參數,最主要起充電延時作 用。當系統啟動,芯片開始工作時,由于IGBT的集電極C端電壓還遠遠大于7V,若沒有C3,則會錯誤地發出短路故障信號,使輸出直接關斷。當芯片正常工 作以后,假使集電極電壓瞬間升高,之后立刻恢復正常,若沒有C3,則也會發出錯誤的故障信號,使IGBT誤關斷。但是,C3的取值過大會使系統反應變慢, 而且在飽和情況下,也可能使IGBT在延時時間內就被燒壞,起不到正確的保護作用, C3取值100pF,其延時時間

在集電極檢測電路用兩個二極管串連,能夠提高總體的反向耐壓,從而能夠提高驅動電壓等級,但二極管的反向恢復時間要很小,且每個反 向耐壓等級要為1000V,一般選取BYV261E,反向恢復時間75 ns。R4和C5的作用是保留HCLP-316J出現過流信號后具有的軟關斷特性,其原理是C5通過內部MOSFET的放電來實現軟關斷。圖3中輸出電壓 VOUT經過兩個快速三極管推挽輸出,使驅動電流最大能達到20A,能夠快速驅動1700v、200-300A的IGBT。
3.3驅動電源設計
在驅動設計中,穩定的電源是IGBT能否正常工作的保證。如圖4所示。電源采用正激變換,抗干擾能力較強,副邊不加濾波電感,輸入阻抗低,使在重負載情況下電源輸出電壓仍然比較穩定。

當s開通時,+12v(為比較穩定的電源,精 度很高)電壓便加到變壓器原邊和S相連的繞組,通過能量耦合使副邊經過整流輸出。當S關斷時,通過原邊二極管和其相連的繞組把磁芯的能量回饋到電源,實現 變壓器磁芯的復位。555定時器接成多諧振蕩器,通過對C1的充放電使腳2和腳6的電位在4~8v之間變換,使腳3輸出電壓方波信號,并用方波信號來控制 S的開通和關斷。+12v經過R1,D2給C1充電,其充電時間t1≈R1C2ln2;放電時間t2=R2C1ln2,充電時輸出高電平,放電時輸出低電 平。所以占空比=t1/(t1+t2)。
[page]
變壓器按下述參數進行設計:原邊接+12v,頻率為60kHz,工作磁感應強度Bw為O.15T,副邊+15v輸出2A,-5v輸出1 A,效率n=80%,窗口填充系數Km為O.5,磁芯填充系數Kc為1,線圈導線電流密度d為3 A/mm2。則輸出功率
PT=(15+O.6)×2×2+(5+O.6)×1×2=64W。
變壓器磁芯參數

由于帶載后驅動電源輸出電壓會有所下降,所以,在實際應用中考慮提高頻率和占空比來穩定輸出電壓。
4 結語
本文設計了一個可驅動l700v,200~300A的IGBT的驅動電路。硬件上實現了對兩個IGBT(同一橋臂)的互鎖,并設計了可以直接給兩個IGBT供電的驅動電源。




