【導讀】開關電源的壽命很大程度受到電解電容的制約,而電解電容的壽命取決于其內核溫升。本文從紋波電流計算、紋波電流實測、電解電容選型、溫度測試方法、壽命估算等方面,對電解電容作了全面的分析。

紋波電流產生的熱量引起電容的內部溫升,加速電解液的蒸發,當容值下降20%或損耗角增大為初始值的2~3倍時,預示著電解電容壽命的終結。通過檢查電容器上的紋波電流,可預測電容器的壽命。本文以連續工作模式的反激變換器輸出電容分析為例,重點從紋波電流角度全面分析電解電容的選型與壽命。
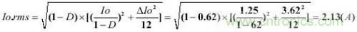
1、紋波電流計算
假設已知連續工作模式的反激變換器,其輸出電流Io為1.25A,紋波率r為1.1,占空比D為0.62,開關頻率為60kHz,由此可以計算次級紋波電流ΔIo和有效值電流Io.rms。
次級紋波電流ΔIo:
有效值電流Io.rms:
最終得到流過輸出電容的紋波電流:
圖1直觀的顯示了該電容的紋波電流波形:

圖1.紋波電流波形
2、電解電容選型
由上述計算分析得到流過電容的紋波電流為1.72A,綜合考慮體積和成本,選擇了紋波電流為1.655A的電解電容。
該紋波電流需在電源開關頻率下選擇,如下圖某廠家電容手冊的紋波電流有頻率因子,不同頻率下的紋波電流不同。高頻低阻電容均會給出100kHz下的紋波電流,本設計開關頻率為60kHz,頻率因子為0.96~1之間,在此取1即可。

圖2.電容紋波電流頻率因子
注:紋波電流還有一個溫度系數,例如105℃電容,在85℃環境溫度下,允許的最大紋波電流約為額定最大紋波電流的1.73倍,該參數一般不在電容手冊中體現。
3、紋波電流實測
測試電解電容紋波電流時,需將電容引腳穿入電流探頭中,通過示波器可讀得交流有效值。本設計實例的紋波電流測試結果如圖3所示,示波器讀得有效紋波電流為1.64A,與理論設計接近。因此理論計算具有較大的工程指導意義。

圖3.實測電容紋波電流
4、溫度測試方法
測量容體表面溫度Ts:需在電容器側面的中間位置進行,如果由于外部影響導致電容器表面溫度不均勻、不穩定,需綜合測量電容器表面4個點的溫度,再取平均值。
測量環境溫度Tx:熱電偶需放置在離鋁殼表面20毫米左右處,如果空間不足,則保持最小10毫米距離,如果由于外部影響導致附近環境溫度不均勻、不穩定,則需綜合測量4個點以上的溫度,再取平均值。

圖4.環境溫度與表面溫度測量
5、電解電容壽命估算
本設計,選擇的電解電容為-40~105℃、5000小時、1.655A紋波電流的高頻低阻電解電容,最高實測環境溫度Tx為80℃,殼體表面溫度Ts為85℃。則其壽命估算如下步驟如下。
(1)估算實際內核溫升:
其中:
△To為To時允許的內核溫升,即額定紋波電流時的電容器芯子溫升,此次選擇的105℃電容△To為5℃,可查原廠或行業資料得到;
△Tx為實際內核溫升;
Ix為實際紋波電流1.64A;
Io為額定紋波電流1.655A。
(2)估算電容壽命:
其中:
Lo為額定壽命5000小時;
To為最高額定工作環境溫度105℃;
Tx為實際環境溫度80℃。
當由于環境因素影響,Tx不易獲得時,可用Ts替代,這可以進一步提供安全余量保證產品售壽命。




