【導讀】光隔離是一種很常用的信號隔離形式。常用光耦器件及其外圍電路組成。由于光耦電路簡單,在數字隔離電路或數據傳輸電路中常常用到,如UART協議的20mA電流環。對于模擬信號,光耦因為輸入輸出的線形較差,并且隨溫度變化較大,限制了其在模擬信號隔離的應用。
1. 線形光耦介紹
光隔離是一種很常用的信號隔離形式。常用光耦器件及其外圍電路組成。由于光耦電路簡單,在數字隔離電路或數據傳輸電路中常常用到,如UART協議的20mA電流環。對于模擬信號,光耦因為輸入輸出的線形較差,并且隨溫度變化較大,限制了其在模擬信號隔離的應用。
對于高頻交流模擬信號,變壓器隔離是最常見的選擇,但對于支流信號卻不適用。一些廠家提供隔離放大器作為模擬信號隔離的解決方案,如ADI的AD202,能夠提供從直流到幾K的頻率內提供0.025%的線性度,但這種隔離器件內部先進行電壓-頻率轉換,對產生的交流信號進行變壓器隔離,然后進行頻率-電壓轉換得到隔離效果。集成的隔離放大器內部電路復雜,體積大,成本高,不適合大規模應用。
模擬信號隔離的一個比較好的選擇是使用線形光耦。線性光耦的隔離原理與普通光耦沒有差別,只是將普通光耦的單發單收模式稍加改變,增加一個用于反饋的光接受電路用于反饋。這樣,雖然兩個光接受電路都是非線性的,但兩個光接受電路的非線性特性都是一樣的,這樣,就可以通過反饋通路的非線性來抵消直通通路的非線性,從而達到實現線性隔離的目的。
市場上的線性光耦有幾中可選擇的芯片,如Agilent公司的HCNR200/201,TI子公司TOAS的TIL300,CLARE的LOC111等。這里以HCNR200/201為例介紹。
2. 芯片介紹與原理說明
HCNR200/201的內部框圖如下所示

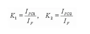
其中1、2引作為隔離信號的輸入,3、4引腳用于反饋,5、6引腳用于輸出。1、2引腳之間的電流記作IF,3、4引腳之間和5、6引腳之間的電流分別記作IPD1和IPD2。輸入信號經過電壓-電流轉化,電壓的變化體現在電流IF上,IPD1和IPD2基本與IF成線性關系,線性系數分別記為K1和K2,即

K1與K2一般很小(HCNR200是0.50%),并且隨溫度變化較大(HCNR200的變化范圍在0.25%到0.75%之間),但芯片的設計使得K1和K2相等。在后面可以看到,在合理的外圍電路設計中,真正影響輸出/輸入比值的是二者的比值K3,線性光耦正利用這種特性才能達到滿意的線性度的。
HCNR200和HCNR201的內部結構完全相同,差別在于一些指標上。相對于HCNR200,HCNR201提供更高的線性度。
采用HCNR200/201進行隔離的一些指標如下所示:
* 線性度:HCNR200:0.25%,HCNR201:0.05%;
* 線性系數K3:HCNR200:15%,HCNR201:5%;
* 溫度系數:-65ppm/oC;
* 隔離電壓:1414V;
* 信號帶寬:直流到大于1MHz。
從上面可以看出,和普通光耦一樣,線性光耦真正隔離的是電流,要想真正隔離電壓,需要在輸出和輸出處增加運算放大器等輔助電路。下面對HCNR200/201的典型電路進行分析,對電路中如何實現反饋以及電流-電壓、電壓-電流轉換進行推導與說明。
3. 典型電路分析
Agilent公司的HCNR200/201的手冊上給出了多種實用電路,其中較為典型的一種如下圖所示:

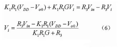
設輸入端電壓為Vin,輸出端電壓為Vout,光耦保證的兩個電流傳遞系數分別為K1、K2,顯然,,和之間的關系取決于和之間的關系。
將前級運放的電路提出來看,如下圖所示:

設運放負端的電壓為,運放輸出端的電壓為,在運放不飽和的情況下二者滿足下面的關系:
Vo=Voo-GVi (1)
其中是在運放輸入差模為0時的輸出電壓,G為運放的增益,一般比較大。
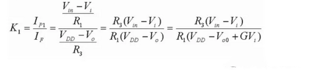
忽略運放負端的輸入電流,可以認為通過R1的電流為IP1,根據R1的歐姆定律得:

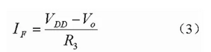
通過R3兩端的電流為IF,根據歐姆定律得:

其中,為光耦2腳的電壓,考慮到LED導通時的電壓基本不變,這里的作為常數對待。
根據光耦的特性,即
K1=IP1/IF (4)
將和的表達式代入上式,可得:

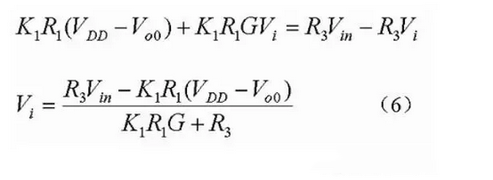
上式經變形可得到:

將的表達式代入(3)式可得:

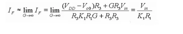
考慮到G特別大,則可以做以下近似:

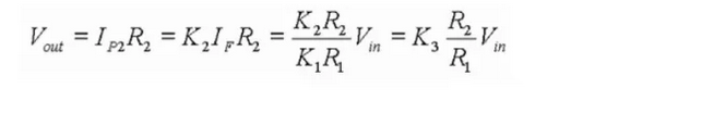
這樣,輸出與輸入電壓的關系如下:

可見,在上述電路中,輸出和輸入成正比,并且比例系數只由K3和R1、R2確定。一般選R1=R2,達到只隔離不放大的目的。
4. 輔助電路與參數確定
上面的推導都是假定所有電路都是工作在線性范圍內的,要想做到這一點需要對運放進行合理選型,并且確定電阻的阻值。
4.1 運放選型
運放可以是單電源供電或正負電源供電,上面給出的是單電源供電的例子。為了能使輸入范圍能夠從0到VCC,需要運放能夠滿擺幅工作,另外,運放的工作速度、壓擺率不會影響整個電路的性能。TI公司的LMV321單運放電路能夠滿足以上要求,可以作為HCNR200/201的外圍電路。
4.2 阻值確定
電阻的選型需要考慮運放的線性范圍和線性光耦的最大工作電流IFmax。K1已知的情況下,IFmax又確定了IPD1的最大值IPD1max,這樣,由于Vo的范圍最小可以為0,這樣,由于考慮到IFmax大有利于能量的傳輸,這樣,一般取最大值。
另外,由于工作在深度負反饋狀態的運放滿足虛短特性,因此,考慮IPD1的限制,這樣,R2的確定可以根據所需要的放大倍數確定,例如如果不需要放大,只需將R2=R1即可。
另外由于光耦會產生一些高頻的噪聲,通常在R2處并聯電容,構成低通濾波器,具體電容的值由輸入頻率以及噪聲頻率確定。
4.3 參數確定實例
假設確定Vcc=5V,輸入在0-4V之間,輸出等于輸入,采用LMV321運放芯片以及上面電路,下面給出參數確定的過程。
* 確定IFmax:HCNR200/201的手冊上推薦器件工作的25mA左右;
* 確定R3:R3=5V/25mA=200;
* 確定R1:;
* 確定R2:R2=R1=32K。
5. 總結
本文給出了線性光耦的簡單介紹以及電路設計、參數選擇等使用中的注意事項與參考設計,并對電路的設計方法給出相應的推導與解釋,供廣大電子工程師參考。
推薦閱讀:



