中心議題:
- EMC四大設計技巧
解決方案:
- EMC濾波設計技巧
- EMC接地設計技巧
- EMC屏蔽設計技巧
- PCB設計之布局布線策略
相關性閱讀
【CLASS 1】EMC元器件的選擇和應用技巧
http://m.sg1668.com/art/artinfo/id/80011142?source=lecture
電磁干擾的主要方式是傳導干擾、輻射干擾、共阻抗耦合和感應耦合。對這幾種途徑產生的干擾我們應采用的相應對策:傳導采取濾波,輻射干擾采用屏蔽和接地等措施,就能夠大大提高產品的抵抗電磁干擾的能力,也可以有效的降低對外界的電磁干擾。本文從濾波設計、接地設計、屏蔽設計和PCB布局布線技巧四個角度,介紹EMC的設計技巧。
一、EMC濾波設計技巧
EMC設計中的濾波器通常指由L,C構成的低通濾波器。濾波器結構的選擇是由"最大不匹配原則"決定的。即在任何濾波器中,電容兩端存在高阻抗,電感兩端存在低阻抗。圖1是利用最大不匹配原則得到的濾波器的結構與ZS和ZL的配合關系,每種情形給出了2種結構及相應的衰減斜率(n表示濾波器中電容元件和電感元件的總數)。

圖1 濾波器的結構與ZS和ZL的配合關系
去耦電容的自諧振頻率
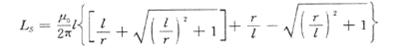
電容的寄生電感Ls的大小基本上取決于引線的長度,對圓形、導線類型的引線上的典型值為10nH/cm。典型的陶瓷電容的引線約有6 mm長,會引入約15nH的電感。引線電感也可由下式估算:

其中:l和r分別為引線的長度和半徑。寄生電感會與電容產生串聯諧振,即自諧振,在自諧振頻率fo處,去耦電容呈現的阻抗最小,去耦效果最好。但對頻率f高于f/o的噪聲成份,去耦電容呈電感性,阻抗隨頻率的升高而變大,使去耦或旁路作用大大下降。實踐中,應根據噪聲的最高頻率fmax來選擇去耦電容的自諧振頻率f0,最佳取值為fo=fmax。
去耦電容容量的選擇
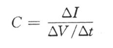
在數字系統中,去耦電容的容量通常按下式估算:

其中:△I為瞬變電流;△V為邏輯器件允許的電源電壓變化,△t為開關時間。
實踐中,去耦電容的容量可按C=1/f選用,f為電路頻率,去耦電容的容量選擇還必須滿足以下條件:
(1)芯片于去耦電容兩端電壓差△V。必須小于噪聲容限Vni:

[page]
(2)從去耦電容為芯片提供所需的電流的角度考慮,其容量應滿足:

(3)芯片開關電流Ic的放電速度必須小于去耦 電流的最大放電速度:

此外,當電源引線比較長時,瞬變電流會引起較大的壓降,此時就要加容納電容以維持器件要求的電壓值。
二、EMC接地設計
接地是最有效的抑制騷擾源的方法,可解決50%的EMC問題。系統基準地與大地相連,可抑制電磁騷擾。外殼金屬件直接接大地,還可以提供靜電電荷的泄漏通路,防止靜電積累。
在地線設計中應注意以下幾點:
(1)正確選擇單點接地與多點接地
在低頻電路中,信號的工作頻率小于1MHz,它的布線和器件間的電感影響較小,而接地電路形成的環流對干擾影響較大,因而應采用單點接地。當信號工作頻率大于10MHz時,地線阻抗變得很大,此時應盡量降低地線阻抗,應采用就近多點接地。當工作頻率在1~10MHz時,如果采用一點接地,其地線長度不應超過波長的1/20,否則應采用多點接地法。
(2)將數字電路與模擬電路分開
電路板上既有高速邏輯電路,又有線性電路,應使它們盡量分開,而兩者的地線不要相混,分別與電源端地線相連。要盡量加大線性電路的接地面積。
(3)盡量加粗接地線
若接地線很細,接地電位則隨電流的變化而變化,致使電子設備的定時信號電平不穩,抗噪聲性能變壞。因此應將接地線盡量加粗,使它能通過三位于印制電路板的允許電流。如有可能,接地線的寬度應大于3mm。
(4)將接地線構成閉環路
設計只由數字電路組成的印制電路板的地線系統時,將接地線做成閉環路可以明顯的提高抗噪聲能力。其原因在于:印制電路板上有很多集成電路組件,尤其遇有耗電多的組件時,因受接地線粗細的限制,會在地結上產生較大的電位差,引起抗噪聲能力下降,若將接地結構成環路,則會縮小電位差值,提高電子設備的抗噪聲能力。
三、EMC屏蔽設計
屏蔽就是以金屬隔離的原理來控制某一區域的電場或磁場對另一區域的干擾。它包括兩個含義:一是將電路、電纜或整個系統的干擾源包圍起來,防止電磁干擾向外擴散;二是用屏蔽體將接收電路、設備或系統包圍起來,防止它們受到外界電磁干擾的影響。屏蔽按照機理可以分為電場屏蔽、磁場屏蔽、電磁場屏蔽三種不同方式。
電場屏蔽
電子設備中的電場通常是交變電場,因此可以將兩個系統間的電場感應認為是兩個系統之間分布電容Cj的耦合,如圖2所示。

圖2 電場耦合示意圖
其中,Ug為干擾源交變電壓,Us為接受器的感應電壓,Cj為G、S間的分布電容,Zs為接受器的接地電阻。則可得

由此可知,干擾電壓Us的大小與耦合電容Cj的大小有關:Cj越大,則Us越大。因此,為了減小干擾電壓Us,應設法減小耦合電容Cj,設法將干擾源G和接受器S盡可能的遠離。如果條件所限不能遠離,則應在二者之間采取屏蔽措施。

圖3 加入屏蔽體后的電場耦合示意圖
如圖3,在干擾源G和接受器S之間加入屏蔽體P,若屏蔽體P的接地電阻為ZP,則可得屏蔽體的感應電壓為

[page]
則接受器上的感應電壓為

由此可知,要使接受器的感應電壓Us減小,Zp應盡可能的小。所以,屏蔽體必須選擇導電性能良好的材料,而且須有良好的接地。否則,因為Cl>Cj,C2>Cj,若屏蔽體的接地電阻較大,將使屏蔽體加入后造成的干擾反而變得更大。
磁場屏蔽
磁場屏蔽是指對低頻磁場和高頻磁場的屏蔽。
低頻磁場的屏蔽采用高導磁率的鐵磁性材料。利用鐵磁性材料的高導磁率對干擾磁場進行分路,使通過空氣的磁通大為減少,從而降低對被干擾源的影響,起到磁場屏蔽的作用。由于是磁分路,所以屏蔽材料屏蔽材料 的磁導率U越高,屏蔽罩屏蔽罩越厚,磁分路流過的磁通越多,屏蔽效果越好。
高頻磁場的屏蔽采用低電阻率的良導體作為屏蔽材料屏蔽材料。外界高頻磁場在屏蔽體中產生渦流,渦流形成的磁場抑制和抵消外界磁場,從而起到了屏蔽的作用。與低頻磁屏蔽不同,由于高頻渦流的趨膚效應,屏蔽體的尺寸并不是屏蔽效果的關鍵所在,而且屏蔽體接地與否和屏蔽效果也沒有關系。但對于高頻磁屏蔽的金屬良導體而言,若有良好的接地,則同時具備了電場屏蔽和磁場屏蔽的效果。所以,通常高頻磁屏蔽的屏蔽體也應接地。
電磁場屏蔽
電磁場屏蔽是利用屏蔽體對電場和磁場同時加以屏蔽,一般用來對高頻電磁場進行屏蔽。由前述可知,對于頻率較高的干擾電壓,選擇良導體制作屏蔽體,且有良好的接地,則可起到對電場和磁場同時進行屏蔽的效果。但是必須注意,對高頻磁場屏蔽的渦流不僅對外來干擾產生抵制作用,同時還可能對被屏蔽體保護的設備內部帶來不利的影響,從而產生新的干擾。
四、PCB設計之布局布線策略
1.選擇合理的導線寬度
由于瞬變電流在印制線條上所產生的沖擊干擾主要是由印制導線的電感成分造成的,因此應盡量減小印制導線的電感量。印制導線的電感量與其長度成正比,與其寬度成反比,因而短而精的導線對抑制干擾是有利的。時鐘引線、行驅動器或總線驅動器的信號線常常載有大的瞬變電流,印制導線要盡可能地短。對于分立組件電路,印制導線寬度在1.5mm左右時,即可完全滿足要求;對于集成電路,印制導線寬度可在0.2~1.0mm之間選擇。
2.采用正確的布線策略
布線時需要注意的幾個方面:
(1)保持環路面積最小,降低干擾對系統的影響,提高系統的抗干擾性能。并聯的導線緊緊放在一起,使用一條粗導線進行連接,信號線緊挨地平面布線可以降低干擾。電源與地之間增加高頻濾波電容。
(2)使導線長度盡可能的縮短,減小印制板的面積,降低導線上的干擾。
(3)采用完整的地平面設計,采用多層板設計,鋪設地層,便于干擾信號泄放。
(4)使電子元件遠離可能會發生放電的平面如機箱面板、把手、螺釘等,保持機殼與地良好接觸,為干擾提供良好的泄放通道。對敏感信號包地處理,降低干擾。
(5)盡量采用貼片元器件。
(6)模擬地與數字地在PCB與外界連接處進行一點接地。
(7)高速邏輯電路應靠近連接器邊緣,低速邏輯電路和存儲器則應布置在遠離連接器處,中速邏輯電路則布置在高速邏輯電路和低速邏輯電路之間。
(8)電路板上的印制線寬度不要突變,拐角應采用圓弧形,不要直角或尖角。
(9)時鐘線、信號線也盡可能靠近地線,并且走線不要過長,以減小回路的環面積。
3.印制電路板的尺寸與器件的布置
印制電路板大小要適中,過大時印制線條長,阻抗增加,不僅抗噪聲能力下降,成本也高;過小,則散熱不好,同時易受臨近線條干擾。
在器件布置方面與其它邏輯電路一樣,應把相互有關的器件盡量放得靠近些,這樣可以獲得較好的抗噪聲效果。時鐘發生器、晶振和CPU的時鐘輸入端都易產生噪聲,要相互靠近些。易產生噪聲的器件、小電流電路、大電流電路等應盡量遠離邏輯電路,如有可能,應另做電路板。





