【導讀】在關注機器健康和其他物聯網(IoT)解決方案的現代應用中,隨著檢測功能的日趨普及,對更簡單的接口以及更少的I/O和更小的器件尺寸的需求也隨之增長。連接到單個微處理器或FPGA的器件密度不斷增加,而應用空間(以及由此導致的I/O引腳數量)卻受到限制。在理想情況下,所有應用都需要一個ASIC來提供小巧的集成式解決方案。
Q:如果系統中的FPGA/微處理器上只剩下一個GPIO,該如何進行模擬測量?
A:可以使用電壓-頻率轉換器代替模數轉換器。
在關注機器健康和其他物聯網(IoT)解決方案的現代應用中,隨著檢測功能的日趨普及,對更簡單的接口以及更少的I/O和更小的器件尺寸的需求也隨之增長。連接到單個微處理器或FPGA的器件密度不斷增加,而應用空間(以及由此導致的I/O引腳數量)卻受到限制。在理想情況下,所有應用都需要一個ASIC來提供小巧的集成式解決方案。
但是,ASIC的開發既耗時又昂貴,并且不具備滿足其他用途的靈活性。因此,越來越多的應用都在使用微處理器或尺寸小巧的FPGA,以便能夠經濟高效地按時完成產品開發。在本文中,我們將探討一種溫度-頻率轉換器,它只需要使用一個GPIO引腳即可提供準確的溫度結果。本文還將演示如何將電壓-頻率轉換器用于各種檢測應用。
動機
某些傳感器測量值(例如溫度、濕度和氣壓)本質上是直流電,而且其變化速率并未快到(它們也不需要足夠精確的分辨率)足以保證ADC的需求以及與之相關的設計考慮。大多數ADC要求快速準確的時鐘生成和時序、穩定的基準電壓、具有非常低輸出阻抗的基準緩沖器以及模擬前端電路,以便對傳感器輸出進行適當的信號調理,然后才能對其進行數字量化并通過系統進行監控。在進行環境溫度檢測時,分立式應用可能會在惠斯通電橋中使用一個熱敏電阻,然后由儀表放大器獲得其輸出,再饋入ADC。這種設計屬于過度設計,需要超出應用所需的更多空間、功率和計算周期,而應用本身可能僅需要每15秒進行一次測量。
LTC6990
● 固定頻率或電壓控制型操作
- 固定:單個電阻器負責設置頻率 (最大誤差 < 1.5%)
- VCO:兩個電阻器負責設定 VCO 中心頻率和調諧范圍
● 頻率范圍:488Hz 至 2MHz
● 2.25V 至 5.5V 單電源操作
● 72μA 電源電流 (在 100kHz)
● 500μs 啟動時間
● VCO 帶寬 > 300kHz (在 1MHz)
● CMOS 邏輯輸出可供應 / 吸收 20mA
● 50% 占空比方波輸出
● 輸出使能 (當停用時可以選擇低或高阻抗狀態)
-55ºC 至 125ºC 工作溫度范圍
● 采用扁平 (高度僅 1mm) SOT-23 (ThinSOTTM) 封裝和 2mm x 3mm DFN 封裝
能否設計一種替代性測量解決方案,既能減少與ADC信號鏈相關的元件數量和復雜性,還能測量模擬電壓?該解決方案就是采用一個電壓-頻率轉換器(例如 LTC6990, 將其配置為電壓控制振蕩器(VCO)模式,這樣就可以用來測量模擬電壓,而無需ADC。在本示例中,將精密熱電偶放大器 AD8494配置為環境溫度傳感器,其輸出電壓用作LTC6990的輸入,從而生成一個溫度-頻率轉換器的信號鏈。

圖1. 簡單的溫度-頻率轉換器。
如何將溫度輸入轉換為頻率輸出?
如今,許多現代電子設備都需要板載溫度監控系統。將模擬信號轉換為脈寬調制信號或數字信號的方法已有大量的文獻記載。但是,如果測量解決方案需要一個ADC,則存在一些與成本、精度和速率相關的不利因素。通常,測量越精確,解決方案就越昂貴。該電路提供了一種低成本且易于連接的通用解決方案,其精度可以根據溫度測量系統的需求而改變。
AD8494是一款熱電偶精密放大器,但它也可以通過將其輸入短路接地用作環境溫度傳感器。輸出則定義為:

在使用單極性電源的電路中, –VS=地電壓(0 V),同時還必須向AD8494的REF引腳施加一個失調電壓,從而使輸出電壓偏置高于地電壓,即使環境溫度為負時也是如此。
溫度傳感器的輸出電壓 VOUT定義為:

在VCO模式下,LTC6990的頻率輸出定義為:

由于AD8494的輸出電壓是LTC6990的 VCTRL 因此可以用公式1來替換公式2中的 VCTRL 設定 RSET = RVCO 則得到以下結果:

這樣就可以解出 Tambient 消掉電壓單位,于是得到公式5:

得到頻率輸出了,有什么用處呢?
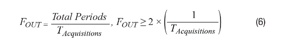
頻率輸出的美妙之處在于可以使用單個GPIO引腳進行傳感器測量。如果使用圖3所示的同步計數器電路,那么在其CLK_IN輸入端將始終會觀察到時鐘的上升沿。如果將LTC6990的 FOUT 用作輸入時鐘,則每次檢測到 FOUT 的上升沿時,計數器都會遞增,從而創建了一個周期計數器。如果每次測量之間的時間間隔保持恒定,則可以計數給定時間間隔內的周期數,并可通過浮點運算或查找表計算出頻率。將采集時間 TAcquisition n除以計數所得的周期數,可以得出 FOUT的周期。對該關系式取倒數則得到公式6。

圖2. 一個以LTC6990輸出作為其時鐘輸入的4位同步計數器。

Verilog代碼示例顯示了一個通過使用FPGA上的單個GPIO輸入來計數周期數的函數。采集周期越長,測量結果就越精確。在下述代碼示例中,使用了一個16位計數器來提高分辨率。同時還假定在架構的更高層級執行采集時間測量控制邏輯。

圖3. Verilog代碼示例。

圖4. 溫度-頻率轉換器傳遞函數。
結論
在本應用中,我們討論了一種新型的溫度-頻率轉換器。它提供了一種精確測量溫度的低成本方法。如果溫度超過–40°C至+125°C的工業溫度范圍,則可在傳感器的輸入端安裝一個熱電偶。下圖總結列出了測量系統的誤差。它說明了環境溫度與輸出頻率以及系統精度之間的線性關系。盡管此解決方案可能無法提供非常好的溫度分辨率結果,但對于可接受大約±2°C誤差的應用,它提供了一個經濟簡單的溫度測量接口。此外,采用電壓-頻率轉換器的概念也可用于測量其他類型的傳感器輸出,且無需使用ADC。

圖5. 溫度誤差。
推薦閱讀:



