中心論題:
- 在短暫電壓不足期間使電信設備保持正常工作。
- 當-48V源降至0V并持續10ms時會出現電壓不足。
- 小電容在電壓不足期間支持電信電源的介紹。
- 連續“磚塊”輸入端的電容存儲裝置解決電壓不足。
- 小電容的引入提高了可靠性并降低了成本和尺寸。
- 隔離的“磚塊”電源對極性沒有影響。
本設計實例介紹如何在短暫電壓不足期間使電信設備保持正常工作。首先必須了解電信設備專用電源的幾個細節。向電信設備饋電的電源的共模電壓為-48V,盡管實際電壓范圍可能是-42.5V ~ -56V、-40V ~ -60V,甚至超出這些范圍。公共電源——“磚塊”DC/DC轉換器工作于-36V ~ -75V范圍。當-48V源降至0V并持續10ms時,就會出現電壓不足。
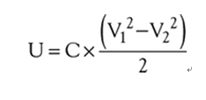
利用連至“磚塊”輸入端的電容存儲裝置,是一條克服此問題的路徑,但當人們了解-48V電源的真實情況時,一個缺點就變得很明顯了。例如,充電達到預定電壓的電容中的能量為(C×V2)/2,其中C為電容值,V為電壓。當電容放電至36V時,“磚塊”停止工作。一般而言,可用于支持“磚塊”工作的能量為:

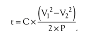
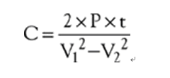
其中V1和V2分別為最初和最終的電壓,U為能量。另外,U=P×t,其中P為功率,t為時間。利用這些等式,可以求出設備保持正常工作的時間:

或者定義電容的值:

假設當“磚塊”輸入端的電壓為 -39V時出現電壓不足,這種情況發生在-48V降至-40V,但“磚塊”由于熱插拔構造中的保護性“或”二極管的緣故損失至少1V。另外,假設存儲電容充電至-39V。在存儲電容放電至-36V之前,設備一直正常工作。假設設備功耗為100W。為了存儲足夠能量供5ms使用,電容的值必須約為4500mF。電容的額定值必須適應最大可能輸入電壓,它可能超過75V,因此最小額定值必須為100V。4500mF100V電容是一個相當大的元件。如果設計方案在300W功耗時需要兩倍工作時間,則電容的值必須為27000mF和100V。

本設計實例仍需要一個電容,但該電容的值要低,是200mF而非4500mF,并在5ms電壓不足期間保持100W。該方法提高了可靠性并降低了成本和尺寸。一個隱藏的特性是電源磚能在-36V~-75V輸入范圍內保持工作,甚至在大于-80V的浪涌下也能工作。圖1描繪了如何利用該特性。該圖描繪了正輸入電壓。“磚塊”電源是隔離的,因此極性沒關系,但更容易描繪正值解釋。
應記住,電容存儲的能量以指數增加,而電容的電壓線性增加。倍增器把C1充電至兩倍輸入電壓或至少為80V。即便假定每10s出現一次5ms電壓不足,用于充電200mF的電流仍僅約為3mA。比較器觀察輸入電壓,并且一旦它降至低于37V,開關S1就會關閉,而來自C1的能量向“磚塊”電源放電。




