中心論題:
- 反激型LED驅動器比較通用,該結構在輸入電壓要求的范圍內能夠保持LED電流恒定
- 簡述利用專用電流控制PWM控制器IC設計反激型LED驅動器的原理步驟
- 設計中最重要參數是LED的電流,為了延長LED的工作壽命,電流必須保持恒定
解決方案:
- 采用專用電流控制PWM控制器IC以減小LED電流變化
- 通過低頻PWM脈沖調制LED電流,控制LED燈源亮度
反激型LED驅動器比較通用,因為該結構可以用于輸入電壓高于或低于所要求的輸出電壓。此外,當反激電路工作在非連續電感電流模式時,能夠保持LED電流恒定,無需額外的控制回路。本應用筆記所描述的電路基于高度集成的MAX16802 PWM LED驅動器IC。
應用
LED軌道照明,通用LED照明設備
特性
• 10.8V至24V輸入電壓范圍
• 為單個3.3V LED供電,提供350mA (典型)電流(其它LED配置結構,請按照設計步驟進行設計)
• 29V (典型值)陽極對地的最大開路電壓
• 262kHz開關頻率
• 逐周期限流
• 通/斷控制輸入
• 允許使用低頻PWM信號調節亮度
• 可以調整電路以適應多種形式的串聯、并聯LED配置
典型應用電路

注意:當+VLED和-VLED不與LED連接時,請勿給電路供電。
元件列表
| Designation | Qty. | Description |
| C1 | 1 | 1nF ±10%, 50V X7R ceramic capacitor (0603) TDK C1608X7R1H102K |
| C2 | 1 | 220pF ±10%, 50V X7R ceramic capacitor (0603) TDK C1608X7R1H221K |
| C3,C4,C7 | 3 | 0.1µF ±10%, 50V X7R ceramic capacitor (0603) TDK C1608X7R1H104 |
| C5 | 1 | 10µF ±10%, 25V X7R ceramic capacitor (1206) TDK |
| C6 | 1 | 10µF ±10%, 16V X7R ceramic capacitor (1206) TDK C3216X7R1C475K |
| D1 | 1 | 40V, 1A Schottky diode (SMA) CMSH1-40M Central Semiconductor |
| L1 | 1 | 10µH inductor Coilcraft DO3308P-103 |
| Q1 | 1 | 40V, 0.045W MOSFET Vishay Si2328DS |
| R1,R3 | 2 | 499k ±1% resistor (0603) |
| R2 | 1 | 22.1k ±1% resistor (0603) |
| R4 | 1 | 73.2k ±1% resistor (0603) |
| R5 | 1 | 100k ±5% resistor (0603) |
| R6 | 1 | 150 ±1% resistor (0603) |
| R7 | 1 | 100 ±1% resistor (0603) |
| R8 | 1 | 10 ±5% resistor (0603) |
| R9,R10 | 2 | 1 ±1% resistor (0805) |
| R11 | 1 | 1 ±1% resistor (0805) |
| U1 | 1 | PWM IC Maxim: MAX16802AEUA (8-pin µMAX®) |
電路拓撲
開環,非隔離型反激LED驅動器十分通用,而且使用方便。它具有一系列優點,非常受歡迎。這些優點包括:
• 無需外部控制環路即可調節LED電流
• 非連續電感電流傳輸降低EMI輻射
• 較低的開關導通損耗
• 簡單的電路設計流程
• LED電壓可高于或低于輸入電壓
• 較寬的輸入電壓范圍
• 可以方便地接入PWM亮度調節信號
最大的優點是簡單,代價是存在以下缺點:
• LED電流受元件容限的影響,例如,電感和檢流比較器傳輸延遲
• 非連續電感電流工作模式,使該拓撲結構更適合于低功耗應用
設計步驟
最重要參數是LED的電流。高亮度LED的工作電流一般為幾百mA。為了延長LED的工作壽命,電流必須保持恒定;電源從本質上說是一個電流驅動器??梢酝ㄟ^幾種方案實現,一個簡單而且低成本的解決方案是:采用專用的電流模式PWM控制器IC,例如MAX16802。該器件的優點是:
• 高集成度—所需的外圍元件很少
• 高達262kHz開關頻率
• 微小的8引腳µMAX封裝
• 較小的檢流門限,降低損耗
• 相當精確的振蕩頻率,有助于減小LED電流變化
• 片上電壓反饋放大器,可用于限制輸出開路電壓
給定LED參數為:

步驟1:計算最小輸入電壓下最佳占空比的近似值:

其中Rb為整流器電阻,與應用電路中的R11相同,在本應用中設定為1 。VD為整流二極管D1的正向壓降。
將已知數值代入上式得到:

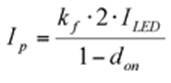
步驟2:計算峰值電感電流的近似值:

其中Kf為臨界“誤差系數”,這里設為1.1。
將已知值代入上式得到:
![]()
步驟3:計算所需電感的近似值,并選擇小于并最接近于計算值的標準電感:

其中L為應用電路中的L1;f為開關頻率,等于262kHz。
將已知值代入上式得到:
![]()
低于該值、最接近的標準值為10µH。
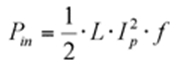
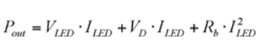
步驟4:通過反激工作過程傳遞到輸出端的功率:

輸出電路的損耗功率等于:

根據能量守恒原理,上述兩個式子應該相等,即可得到一個更精確的峰值電感電流:

其中L為實際選擇的標準電感值。
將已知數值代入上式可得:
![]()
步驟5:計算檢流電阻,由R9和R10并聯而得;計算電壓檢測分壓電阻(如果需要),由R6和R7組成。
MAX16802的限流門限為291mV。因此選擇R9、R10、R6和R7,滿足步驟4所計算的電感峰值電流。
這步完成后,即可得到應用電路中的各個元件值,該電路可提供12V、350mA輸出。因為存在寄生效應,因此電阻值(R7)需要進行適當調整,以得到所期望的電流。
步驟6:R1和R2可選。它們用于調整+VLED至29V。這在輸出端出現意外開路時非常有用。如果沒有上述元件的分壓,輸出電壓有可能上升,導致器件損壞。
元件C1和R5也為可選,用于穩定電壓反饋環路。對于當前應用,可以不使用這些元件。
低頻PWM亮度調節
控制LED燈源亮度的最好辦法是通過一個低頻PWM脈沖調制LED電流。使用這種方法,LED電流根據占空比的變化觸發脈沖,同時保持電流幅度恒定。這樣,器件發出的光波波長在整個調節范圍內保持不變。
利用下面電路可實現PWM亮度調節。

特性曲線


印刷電路板






