中心論題:
- DC-SIR濾波器介紹
- 濾波器設計
- 濾波器級數和初始尺寸的選取
- HFSS仿真分析
解決方案:
- 使用SIR結構設計濾波器
- 在Ansoft HFSS中建立三維模型,分別仿真單腔的諧振頻率、外部品質因素Qe和耦合系數k
引言
微波濾波器是微波系統中的關鍵元件,針對不同的應用領域和場合,它可采用多種不同的結構來實現。通常,當濾波器通帶的相對帶寬大于15%時可以采用交指型結構,大于5%時可以采用梳狀型結構,而小于5%時則采用同軸型結構。由于實際項目對濾波器的體積有特殊要求,因而采用 g/4的DC-SIR結構。該結構的濾波器具有Q值高、插損小、體積小、帶外抑制好以及方便控制雜散諧振頻率等優點,可應用于許多場合。
普通SIR(Stepped Impedance Resonators)濾波器中心導體內部沒有電磁場,即這些空間對增加Q值沒有任何意義,而在設計中為了調試方便和減小諧振器的重量,在諧振桿開路端增加了一個圓柱形的空腔。
為了簡化設計,首先忽略雙同軸腔體濾波器諧振桿低阻抗部分空腔的影響,通過計算得到普通SIR濾波器的基本尺寸參數,然后在Ansoft HFSS場仿真軟件下仿真優化該空腔的尺寸及諧振桿低阻抗部分的長度,并計算耦合系數與耦合窗、外部品質因素Qe的關系,最后整體仿真優化并加工調試。

DC-SIR 濾波器介紹
DC-SIR (Double Coaxial Stepped Impedance Resonators)濾波器的內部諧振器由兩種或兩種以上不同特征阻抗的同軸傳輸線結合而成,并且在諧振桿的低阻抗部分開了一個空腔。與普通的濾波器相比它具有更小的體積。通過選擇較小的阻抗比RZ(不同特征阻抗的比值)可以無限地縮短DC-SIR諧振器的長度,減小RZ也可以使雜散諧振頻率遠離基本諧振頻率。圖1為DC-SIR濾波器的單腔結構圖。
圖中,a1為諧振器高阻抗部分的半徑,a2為低阻抗部分的半徑,b為諧振腔的邊長之半或同軸腔的外徑(具體視外腔為矩形腔或圓形腔而定),h為諧振腔的長度,c1為空腔的半徑,h1為空腔的深度,l1和l2分別為高低阻抗諧振器的長度,它們分別對應于電學長度θ1和θ2。
這種結構的諧振腔的諧振條件為:Ln0=4(arctan Rz)/π (1)
其中Ln0為歸一化諧振器長度。在設計濾波器時可以通過選擇阻抗比Rz或歸一化諧振器長度來確定另外一個參數。如果不考慮開路端邊緣電容和阻抗不連續性的影響,在設計時可以取l1和l2的長度相等,諧振器的總長為l1+l2。在實際設計中首先需要考慮阻抗不連續性和開路端邊緣電容的影響,通過計算傳輸線接合面不連續性電容,確定諧振桿長度,并在此基礎上縮短l2的長度以達到消除開路端電容影響的目的。然后考慮諧振桿空腔的影響,在前面計算的基礎上通過仿真優化確定空腔的尺寸及諧振桿低阻抗部分的長度。
濾波器設計
本文使用SIR結構設計濾波器,其通帶3976±20MHz內S21<1.5,S11>15,帶外抑制大于40dB(3976±60MHz)。濾波器的尺寸要求為:長×寬×高<50mm×15mm×15mm。
濾波器級數的選取
利用帶通濾波器的頻率變換公式:

其中ωU和ωL分別為通帶的上、下截至頻率,ω_{C}=\sqrt{ω_{U}ω_{L}},ω=ω_{C}±60MHz。計算得2.96或3.02;查表可得濾波器的階數為n=4。濾波器低通原型歸一化元件值為g0=1,g1=1.1088,g2=1.3061,g3=1.7703,g4=0.8180,g5=1.3554。
濾波器初始尺寸的選取
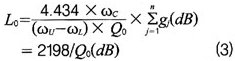
通帶中心插損L0可以通過如下公式得到:

經計算可以確定未加載Q0值為1465。
考慮到實際加工中濾波器的外壁厚度等因素,暫時設定諧振腔長度為11mm,諧振桿初始長度為10mm,空氣腔型SIR結構的歸一化諧振器長度由下式決定:Ln0=lT/l0=10/18.86=0.53
其中lT為諧振器長度,l0為1/4波長。由公式(1)可得,RZ=0.195。由歸一化Q值與線阻抗的關系圖可以看出Q0=0.8QCM,當濾波器材料為銅的時候:QCM=2670b f0=5324b
故可計算出b=3.4mm。在實際中必須考慮通帶邊緣插損加大和導體表面粗糙度等使無載Q值減小的實際因素,在設計時無載Q值必須留有足夠的余量。在本文中,外導體選擇b=5mm,即邊長為10mm的矩形腔,根據阻抗比RZ和歸一化Q值與線阻抗的關系圖,用Agilent Appcad軟件可以計算得到同軸腔的高、低阻抗段的內徑為4mm和1.3mm。由J.R.Whinnery的結論可知阻抗不連續性電容為0.33pF,為消除其影響可用包含了傳輸線接合面不連續性電容的SIR諧振計算公式,修正諧振器長度。

式中α0=ω0CdZ1,ω0為角諧振頻率,取θ1=θ2計算;經計算得到l1,l2長為4.6mm。為消除開路端邊緣電容影響可由公式修正低阻抗部分l2的長度

經計算Δl=0.83mm≈0.8mm,故諧振器長度為l1+l2=4.6mm+3.8mm=8.4mm。
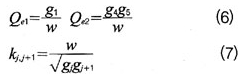
將前面的濾波器歸一化低通元件值代入公式(6)和(7):

式中w為相對帶寬。
經計算可得Qe1=Qe2=110.2;k1,2=k3,4=0.0836;k2,3=0.066
HFSS仿真分析
在Ansoft HFSS中建立三維模型,分別仿真單腔的諧振頻率、外部品質因素Qe和耦合系數k。根據計算的結構參數,在Ansoft HFSS里面建立單腔的諧振頻率掃描模型。在仿真掃描諧振頻率的時候不需要加激勵,在Eigenmode模式中改變諧振器頂部加載的頻率調諧螺釘長度,可以調節諧振腔的諧振頻率。當頻率調諧螺釘長度增加時,加載的電容增大,諧振頻率降低。
建立外部品質因素Qe計算模型(圖2),在單腔模型中加入激勵可以計算Qe,在邊界設置的時候把激勵在腔外的一段設置成LumpRLC邊界,并且設置這段導體的阻抗為50Ω。通過掃描激勵的高度和激勵到諧振桿的距離可以得到期望的Qe。

建立耦合系數掃描模型(圖3),建立兩個諧振腔,中間通過矩形空氣孔耦合連接起來,通過掃描耦合孔的寬度和深度,可以得到不同的耦合系數,具體耦合系數的計算公式為:

其中f1和f2為Eigenmode模式下的諧振頻率。

在設計中,仿真掃描耦合系數時一般都要在耦合孔上面加耦合螺釘,以便設計調試濾波器時修正加工與仿真的誤差。
通過與前面計算的耦合系數理論值的比較,可以選擇合適的耦合孔及耦合螺釘的初始值建立整體仿真模型(圖4)。一般這種初始值進行整體仿真的結果與期望的濾波器指標有一定的偏差,通過調節耦合螺釘的深度、激勵的位置以及頻率調諧螺釘的深度可使濾波器達到期望的指標。

在該濾波器的結構實現中,選擇方腔邊長10mm,方腔高度11mm,諧振桿低阻抗部分半徑4mm,低阻抗部分長度3.5mm,諧振桿高阻抗部分半徑1.3mm,高阻抗部分長度4.6mm,諧振桿頂部空腔半徑3mm,空腔高3mm。
仿真結果及分析
通過優化得到濾波器的仿真結果如圖5所示,在仿真過程中為了提高仿真速度,全部的材料都設置成理想材料,所以仿真結果中濾波器插損為零。實際測試的濾波器的波形如圖6所示,可以看出,該方法設計的濾波器實際測試的結果與仿真的結果非常吻合,能夠達到指標要求。


在本文中首先忽略DC-SIR的空腔對諧振桿結構的影響,通過計算得其基本結構參數,再使用Ansoft HFSS場仿真軟件對空腔的尺寸及諧振桿低阻抗部分的長度進行優化,并對濾波器的外部品質因素Qe、級間耦合系數和諧振頻率等進行單獨仿真,最后整體仿真,確定濾波器的最終尺寸。測試結果表明,實際濾波器指標與仿真結果基本一致,說明了該方法設計濾波器的可行性。



