- 學習高溫微型的壓力傳感器的應用
- 器件的基本組成及制作工藝
- 用具有補償功能的測量電路對輸出電容進行非線性補償
- 應用模型識別的方法確定壓力傳感器的電容值
0 引言
壓力傳感器是使用最為廣泛的一種傳感器。傳統的壓力傳感器以機械結構型的器件為主,以彈性元件的形變指示壓力,但這種結構尺寸大、質量輕,不能提供電學輸出。隨著半導體技術的發展,半導體壓力傳感器也應運而生。其特點是體積小、質量輕、準確度高、溫度特性好。特別是隨著MEMS技術的發展,半導體傳感器向著微型化發展,而且其功耗小、可靠性高。
高溫壓力傳感器是為了解決在高溫環境下對各種氣體、液體的壓力進行測量。主要用于測量鍋爐、管道、高溫反應容器內的壓力、井下壓力和各種發動機腔體內的壓力、高溫油品液位與檢測、油井測壓等領域。目前,研究比較多的高溫壓力傳感器主要有SOS,SOI,SiO2,Poly2Si等半導體傳感器,還有濺射合金薄膜高溫壓力傳感器、高溫光纖壓力傳感器和高溫電容式壓力傳感器等。半導體電容式壓力傳感器相比壓阻式壓力傳感器其靈敏度高、溫度穩定性好、功耗小,且只對壓力敏感,對應力不敏感,因此,電容式壓力傳感器在許多領域得到廣泛應用。
1 器件的基本組成及制作工藝
硅電容式壓力傳感器的敏感元件是半導體薄膜,它可以由單晶硅、多晶硅等利用半導體工藝制作而成。典型的電容式傳感器由上下電極、絕緣體和襯底構成。當薄膜受壓力作用時,薄膜會發生一定的變形,因此,上下電極之間的距離發生一定的變化,從而使電容發生變化。但電容式壓力傳感器的電容與上下電極之間的距離的關系是非線性關系,因此,要用具有補償功能的測量電路對輸出電容進行非線性補償。由于高溫壓力傳感器工作在高溫環境下,補償電路會受到環境溫度的影響,從而產生較大的誤差。基于模型識別的高溫壓力傳感器,正是為了避免補償電路在高溫環境下工作產生較大誤差而設計的,其設計方案是把傳感器件與放大電路分離,通過模型識別來得到所測環境的壓力。高溫工作區溫度可達350℃。傳感器件由鉑電阻和電容式壓力傳感器構成。其MEMS工藝如下:
高溫壓力傳感器由硅膜片、襯底、下電極和絕緣層構成。其中下電極位于厚支撐的襯底上。電極上蒸鍍一層絕緣層。硅膜片則是利用各向異性腐蝕技術,在一片硅片上從正反面腐蝕形成的。上下電極的間隙由硅片的腐蝕深度決定。硅膜片和襯底利用鍵合技術鍵合在一起,形成具有一定穩定性的硅膜片電容壓力傳感器[2]。由于鉑電阻耐高溫,且對溫度敏感,選用鉑電阻,既可以當普通電阻使用,又可以作為溫度傳感器用以探測被測環境的溫度。金屬鉑電阻和硅膜片的參數為:0℃時鉑電阻值為1000Ω;電阻率為1.0526316×10-5Ω·cm;密度為21440kg/m3;比熱為132.51J/(kg·K)、熔斷溫度為1769℃,故鉑電阻可加工為寬度為0.02mm;厚度為0.2μm;總長度為3800μm,制作成鋸齒狀,可在幅值為10V的階躍信號下正常工作。電容式壓力傳感器的上下電極的間隙為3μm、圓形平板電容上下電極的半徑為73μm、其電容值為50pF。具體工藝流程圖如圖1所示。

2 基于識別技術的模型及其仿真
對于一個系統,其方程式為
UO(s)=G(s)Ui(s),
其中 UO(s)和Ui(s)分別為輸出和輸入信號,當輸出、輸入信號及系統的階數已知,可以通過計算機按一定的準則來識別G(s)的模型參數,為模型識別。本文主要闡述應用模型識別的方法來確定處于高溫環境下的電容式壓力傳感器的電容值。
[page]
2.1 電路模型
基本電路是由一個金屬鉑電阻和一個電阻式高溫壓力傳感器構成(如圖2)。

金屬鉑電阻對溫度變化敏感,若選用零度時電阻值為1000Ω、溫度系數為3851×10-6/℃的鉑電阻,其溫度變化范圍從-50~350℃時,相應的電阻從803.07~2296.73Ω。由電阻的變化可測得環境的溫度。壓力傳感器在不同壓力下有不同的電容值,因此,在同一溫度下,輸入同一交流電壓信號時,其輸出信號不同。
2.2 系統在時域范圍的算法
圖2電路所示的一階系統的傳遞函數為

式中UO為輸出信號;Ui為輸入信號;R為電阻;C為電容;t為時間。
利用MATLAB繪制單位階躍響應曲線如圖3。

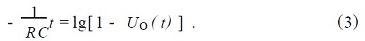
從圖3中可看出,該系統穩定、無振動。響應曲線的斜率為:

對式(2)進行變換得
從式(3)得,以lg[1-UO(t)]為縱坐標,t為橫坐標,可得出通過原點直線,從直線的斜率可求得常數RC的值,已知R則可得出C,從而得出壓力。
[page]
2.3 模型識別
基于上述思想,若已知輸入、輸出信號,可通過曲線擬合及線性回歸法得出RC。對式(3)進行擬合,在擬合過程中,加入一定的白噪聲。若R=1000Ω,電容C=50pF,則擬合曲線如圖4所示。

擬合參數最大時為5.037×10-8,最大相對誤差為0.78%。當溫度變化時,金屬鉑電阻值發生變化,在不同的溫度下擬合的電容值和溫度的關系如表1所示(加入1%的白噪聲)。

1可見,擬合的電容誤差小于1%。由此可見,在不同的時刻測得UO(t),通過曲線擬合得出參數RC。再給電路加小信號直流電源,測出R值,即求得C,通過C值則可知被測環境的壓力。圖5為350℃時,不同的壓力所對應的電容的理論值和實驗值,從實驗數據(表2)可得,在測壓的過程中,利用模型識別的方法,誤差較小,其測壓誤差小于2%。


3 結束語
基于模型識別技術的高溫微型壓力傳感器電路簡單、工藝成本較低、體積小、可批量生產、準確度高。該傳感器避免了電阻式高溫壓力傳感器的自補償電路在高溫環境下工作時熱靈敏度漂移引起的誤差,也避免了其它電容式高溫壓力傳感器非線性補償電路在高溫環境下工作。該傳感器適合在各種高溫環境下測量氣體或液體的壓力。




