【導讀】眾所周知,納米結構對于提高納米材料的電化學性能起著至關重要的作用。然而,由于實驗過程繁雜,規?;铣删哂刑厥饧{米結構的納米材料,一直以來嚴重制約著納米材料的實用化。
引言
為彌補鋰離子電池在儲能方向應用的局限性,鈉離子電池以其鈉資源豐富、分布廣泛和成本低廉等特點受到了人們的普遍關注,并有望在大規模儲能領域得到應用。開發高性能負極材料對實現鈉離子電池的商業化至關重要。在備受關注的鈉離子電池負極材料中,硫化鐵具有理論容量高、高度可逆的氧化還原特性、自然資源豐富以及環境友好等特點,是極具潛力的新型負極材料之一。眾所周知,納米結構對于提高納米材料的電化學性能起著至關重要的作用。然而,由于實驗過程繁雜,規?;铣删哂刑厥饧{米結構的納米材料,一直以來嚴重制約著納米材料的實用化。
成果簡介
近日,南京航空航天大學彭生杰教授課題組通過一步硫化的方法設計制備出適合規?;a的形貌均一的Fe1-xS納米材料。作為鈉離子電池負極材料,該材料展現了優異的倍率性能和良好的循環穩定性(經過2000周循環,在10 A g-1的電流密度下,可逆容量保持率仍舊可以達到大約100%)。動力學分析表明,贗電容的決定性作用,是該材料具有良好倍率性能的關鍵。同時,通過原位XRD表征,研究了Fe1-xS納米材料的儲鈉機理。此外,利用Na0.6Co0.1Mn0.9O2與Fe1-xS匹配構成鈉離子電池全電池,表現出較高的比容量和循環穩定性(在電流密度20 mA g-1時,經過100周循環,容量保持在約380 mAh g-1)。該項工作以“Large-scale synthesis of highly uniform Fe1-xS nanostructures as a high-rate anode for sodium ion batteries”為題在線發表在期刊Nano Energy上(2017, 37, 81-89)。
圖文導讀

圖1. Fe1-xS納米材料的物理表征
(a,b)Fe1-xS納米材料在不同放大倍率下的掃描電子顯微鏡(SEM)圖像;(c,d)Fe1-xS納米材料的投射電子顯微鏡(TEM)圖像,插圖:電子衍射圖像;(e-g)Fe1-xS納米材料各元素的EDX面掃描圖。

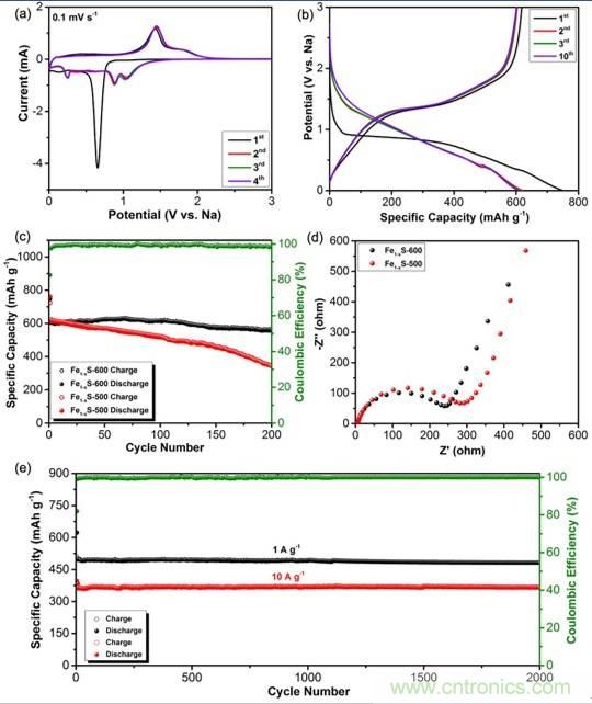
圖2. Fe1-xS納米材料的電化學性能
Fe1-xS納米材料的(a)CV圖;(b)充放電曲線圖;(c)循環穩定曲線;(d)交流阻抗圖;(e)不同充放電倍率下循環穩定性曲線。

圖3. Fe1-xS納米材料的動力學性能
Fe1-xS納米材料的(a)倍率性能曲線;(b)相應倍率下充放電曲線;(c)不同掃速下的CV曲線;(d)相應氧化還原峰下的log i vs. log v曲線;(e)不同掃速下的贗電容貢獻;(f)掃速為0.5 mV s-1時,CV曲線及相應贗電容所占比例。

圖4. Fe1-xS納米材料的儲鈉機理研究
(a)第一周充放電原位XRD圖;(b)第三周充放電原位XRD圖;(c)一定充放電電位下XRD圖。

圖5. Fe1-xS納米材料的鈉離子全電池性能
(a)Na0.6Co0.1Mn0.9O2正極和Fe1-xS負極充放電曲線對比;Na0.6Co0.1Mn0.9O2/Fe1-xS全電池在電流密度20 mA g-1時的電化學性能(b,c)充放電曲線;(d)循環穩定性曲線。
小結
該研究通過簡單一步硫化的方法成功制備了均一Fe1-xS納米結構。作為鈉離子電池電極材料,表現出良好的倍率性能和超長的循環穩定性。值得注意的是,其優異的儲鈉性能也在鈉離子全電池中得以充分展現,進一步表明了其潛在的商業化應用價值。




