【導讀】電感在開關電源中發揮著重要作用,本文ROHM將為大家介紹電感的選型方法。
電感:L1
電感L1如電路圖所示,由輸出電容器C5和LC濾波器共同組成。L1電感值的設置要使設備在不連續模式下工作。這是因為如果以連續模式工作,二極管的反向恢復時間、trr間的反向電流會導致二極管的損耗増加,而且該反向電流還會成為MOSFET導通時的峰值電流,因此MOSFET的損耗也會増加。為了避免這種問題而選擇不連續模式。

電感值的計算
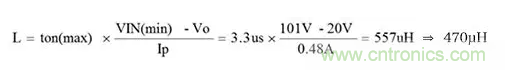
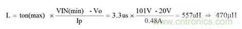
首先計算電感值。設VIN為101V。假設90VAC條件下,峰值電壓為1.41倍,余量為20%。
設 VIN = 90VAC×1.41×0.8 = 101V ,則:

Iomax取20%左右的余量,得出:Iomax = 0.2A×1.2 = 0.24A。
設臨界點(峰值) Ip = Iomax×2 = 0.48A ,則:

根據該計算結果,選擇標準值470µH。
電感電流的計算
接下來計算電感電流,以確定電感的容許電流。
輸入電壓最大時,電感電流最大。最大輸入電壓為264VAC時,電源IC開關(MOSFET)的導通時間為IC的最小導通時間。根據輸出電壓和電感的電感值等條件,該最小導通時間約為0.6~1.5µs。
假設最大輸入電壓264VAC時的最小導通時間為1µs,則:

因此,應該選擇電感值470µH、電感電流0.8A以上的電感。必須要注意的是,一定要通過實際裝機來確認電感電流,確保是電感不飽和的。






