【導讀】工作原理:推挽式開關電源的典型電路如圖一所示。它屬于雙端式變換電路,高頻變壓器的磁芯工作在磁滯回線的兩側。
工作原理:推挽式開關電源的典型電路如圖一所示。它屬于雙端式變換電路,高頻變壓器的磁芯工作在磁滯回線的兩側。電路使用兩個開關管VT1和VT2,兩個開關管在外激勵方波信號的控制下交替的導通與截止,在變壓器T次級統組得到方波電壓,經整流濾波變為所需要的直流電壓。
這種電路的優點是兩個開關管容易驅動,主要缺點是開關管的耐壓要達到兩倍電路峰值電壓。電路的輸出功率較大,一般在100-500 W范圍內。

整流輸出推挽式變壓器開關電源工作原理
整流輸出推挽式變壓器開關電源,由于兩個開關管輪流交替工作,相當于兩個開關電源同時輸出功率,其輸出功率約等于單一開關電源輸出功率的兩倍。因此,推挽式變壓器開關電源輸出功率很大,工作效率很高,經橋式整流或全波整流后,僅需要很小的濾波電感和電容,其輸出電壓紋波就可以達到非常小。
圖1-30是橋式整流輸出推挽式變壓器開關電源工作原理圖,除了整流濾波電路以外,其余部分電路的工作原理基本與圖1-27相同。橋式整流電路由D1、D2、D3、D4組成,C為儲能濾波電容,R為負載電阻,Uo為直流輸出電壓,Io為流過負載電阻的電流。

圖1-31是全波整流輸出的推挽式變壓器開關電源工作原理圖,同樣,除了整流濾波電路以外,其余部分電路的工作原理基本與圖1-27和圖1-30相同。但開關變壓器的次級需要多一個繞組,兩個繞組N31、N32輪流輸出電壓;全波整流電路由D1、D2組成,C為儲能濾波電容,R為負載電阻,Uo為直流輸出電壓,Io為流過負載電阻的電流。

圖1-30與圖1-31比較,橋式整流輸出的推挽式變壓器開關電源比全波整流輸出的推挽式變壓器開關電源多用兩個整流二極管,但全波整流輸出的開關變壓器又比橋式整流輸出的開關變壓器多一組次級線圈。因此,圖1-30橋式整流輸出推挽式變壓器開關電源比較適用于輸出電流相對較小的情況;而圖1-31全波整流輸出推挽式變壓器開關電源比較適用于輸出電流相對較大的情況。因為,大電流整流二極管成本高,而且損耗功率也比較大。
下面我們來詳細分析圖1-30橋式整流輸出推挽式變壓器開關電源和圖1-31全波整流輸出推挽式變壓器開關電源的工作原理。
由于圖1-30橋式整流輸出推挽式變壓器開關電源或圖1-31全波整流輸出推挽式變壓器開關電源的電壓輸出電路中都接有儲能濾波電容,儲能濾波電容會對輸入脈動電壓起到平滑的作用,因此,圖1-30和圖1-31中輸出電壓Uo都不會出現很高幅度的電壓反沖,其輸出電壓的峰值Up基本上就可以認為是半波平均值Upa。其值略大于正激輸出nUi,即:橋式整流輸出推挽式變壓器開關電源或全波整流輸出推挽式變壓器開關電源,整流濾波輸出電壓Uo的值略大于正激輸出nUi,n為變壓器次級線圈N3繞組與初級線圈N1繞組或N2繞組的匝數比。
因此,推挽式變壓器開關電源的輸出電壓uo,主要還是由(1-131)式來決定。即:推挽式變壓器開關電源的輸出電壓uo(K1或K2接通期間),約等于開關變壓器次級線圈N3繞組產生的正激式輸出電壓Up或Up-的半波平均值Upa或Upa-:
uo = Upa = nUi —— K1接通期間 (1-134)
或uo = Upa- =-nUi —— K2接通期間 (1-135)
上式中,uo為推
挽式變壓
器開關電源的輸出電壓,n為變壓器次級線圈N3繞組與初級線圈N1繞組或N2繞組的匝數比,Ui為開關變壓器初級線圈N1繞組或N2繞組的輸入電壓。
圖1-32是橋式整流輸出或全波整流輸出推挽式變壓器開關電源,在兩個控制開關K1和K2交替接通和斷開,且占空比D均等于0.5時,各主要工作點的電壓、電流波形。
圖1-32-a)和圖1-32-b)分別表示控制開關K1接通時,開關變壓器初級線圈N1繞組兩端的電壓u1的波形,以及流過變壓器初級線圈N1繞組兩端的電流i1波形;圖1-32-c)和圖1-32-d)分別表示控制開關K2接通時,開關變壓器初級線圈N2繞組兩端的電壓u2的波形,以及流過開關變壓器初級線圈N2繞組兩端的電流i2的波形;圖1-32-e)和圖1-32-f)分別表示控制開關K1和K2輪流接通時,開關變壓器次級線圈N3繞組兩端輸出電壓uo的波形,以及流過開關變壓器次級線圈N3繞組兩端的電流波形。
圖1-32-f)中,虛線箭頭表示反激式輸出電流是由最大值開始,然后逐漸減小到最小值;而實線箭頭表示正激式輸出電流則是由最小值開始,然后逐漸增加到最大值;因此,兩者同時作用的結果,正好輸出一個矩形波。


從圖1-32-e)可以看出,輸出電壓uo雖然還是由兩個部分組成,一部分為輸入電壓Ui通過變壓器初級線圈N1繞組或N2感應到次級線圈N3繞組的正激式輸出電壓(uo);另一部分為勵磁電流通過變壓器初級線圈N1繞組或N2繞組存儲的能量產生的反激式輸出電壓[uo];這里反激式輸出電壓[uo]不會再使波形產生反沖,是因為儲能濾波電容會把反沖電壓吸收掉,使其成為充電流。
由于推挽式變壓器開關電源輸出電壓的半波平均值Upa幅值基本上是穩定的,它不會像反激式輸出開關電源那樣,輸出電壓的幅值隨著控制開關占空比的改變而改變。因此,如果需要調整推挽式變壓器開關電源輸出電壓,只能通過改變兩個控制開關的占空比,來改變輸出電壓的平均值。因此,在輸出電壓可調的推挽式變壓器開關電源電路中,必須要在整流輸出電路后面加接一個LC儲能濾波電路,才能從整流輸出的脈動直流電壓中提取平均值輸出。
圖1-33是輸出電壓可調的推挽式變壓器開關電源電路。實際上圖1-33就是在圖1-31全波整流輸出推挽式變壓器開關電源電路的基礎上,在整流輸出電路后面加接了一個LC儲能濾波電路。LC儲能濾波電路的工作原理與圖1-2串聯式開關電源中的儲能濾波電路工作原理基本相同。不過,在全波整流輸出的LC儲能濾波電路中可以省去一個續流二極管,因為用于全波整流的兩個二極管可以輪流充當續流二極管的作用。關于LC儲能濾波電路的詳細工作原理,請參考《1-2-2.串聯式開關電源輸出電壓濾波電路》章節。
由于圖1-33中兩個控制開關占空比D的可調范圍很小(小于0.5),并且在一個周期內兩個控制開關均需要接通和關
斷一次,
因此,輸出電壓的可調范圍相對來說要比單激式開關電源輸出電壓的可調范圍小很多;但雙激式開關電源比單激式開關電源,具有輸出功率大、電壓紋波小、電壓輸出特性好等優點。

圖1-34是輸出電壓可調的推挽式變壓器開關電源各主要工作點的電壓、電流波形。
圖1-34-a)表示控制開關K1接通時,開關變壓器初級線圈N1繞組兩端的電壓波形;圖1-34-b)表示控制開關K2接通時,開關變壓器初級線圈N2繞組兩端的電壓波形;圖1-34-c)表示控制開關K1和K2輪流接通時,開關變壓器次級線圈N3繞組兩端輸出電壓uo的波形。圖1-34-d)表示開關變壓器次級線圈N3繞組兩端輸出電壓經全波整流后的電壓波形。
圖1-34-c)中,Up、Up-分別表示開關變壓器次級線圈N3繞組兩端輸出電壓uo的正最大值(半波平均值)和負最大值(半波平均值),[Up]、[Up-]分別表示開關變壓器次級線圈N3繞組兩端反激輸出電壓的正最大值(半波平均值)和負最大值(半波平均值)。

這里還需再次說明,實際上反激輸出電壓[Up]和[Up-]的脈沖幅度都很高,只不過它的能量很小,即寬度很窄,其幅度被限幅和平均以后就變得很低了。在整流輸出電路中,反激輸出電壓[Up]、[Up-]的幅度一般都不會高于Up、Up-的幅度,其幅度高于Up、Up-將要被濾波電容兩端的電壓限幅,或通過變壓器兩個初級線圈的互感作用被輸入電源電壓限幅。
圖1-34-d)中,實線波形對應控制開關K1接通時,開關變壓器次級線圈N3繞組兩端輸出電壓經橋式或全波整流后的波形;虛線波形對應控制開關K2接通時,開關變壓器次級線圈N3繞組兩端輸出電壓經橋式或全波整流后的波形。Ua表示整流輸出電壓的平均值。
從圖1-34-d)可以看出,僅用儲能電容對整流輸出電壓進行濾波,是很難從脈動直流中取出輸出電壓的平均值的,必須同時使用儲能濾波電感才能取出輸出電壓的平均值。
圖1-33中,儲能濾波電感和儲能濾波電容參數的計算,與圖1-2的串聯式開關電源中儲能濾波電感和儲能濾波電容參數的計算方法很相似。根據圖1-33和圖1-34,我們把整流輸出電壓uo和LC濾波電路的電壓uc、電流iL畫出如圖1-35,以便用來計算推挽式變壓器開關電源儲能濾波電感、電容的參數。

圖1-35-a)是整流輸出電壓uo的波形圖。實線表示控制開關K1接通時,推挽式變壓器開關電源開關變壓器次級線圈N3繞組輸出電壓經整流后的波形;虛線表示控制開關K2接通時,推挽式變壓器開關電源開關變壓器次級線圈N3繞組輸出電壓經整流后的波形。Up表示整流輸出峰值電壓(正激輸出電壓),Up-表示整流輸出最低電壓(反激輸出電壓),Ua表示整流輸出電壓的平均值。
圖1-35-b)是濾波電容器兩端電壓的波形圖,或濾波電路輸出電壓的波形圖。Uo表示輸出電壓,或
濾波電容
器兩端電壓的平均值;ΔUc表示電容充電電壓增量,2ΔUc等于輸出電壓紋波。
1-8-1-3-1.推挽式變壓器開關電源儲能濾波電感參數的計算
在圖1-33中,當控制開關K1接通時,輸入電壓Ui通過控制開關K1加到開關變壓器線圈N1繞組的兩端,在控制開關K1接通Ton期間,開關變壓器線圈N3繞組輸出一個幅度為Up(半波平均值)的正激電壓uo,然后加到儲能濾波電感L和儲能濾波電容C組成的濾波電路上,在此期間儲能濾波電感L兩端的電壓eL為:
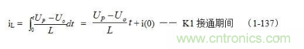
eL = Ldi/dt = Up – Uo —— K1接通期間 (1-136)
式中:Ui為輸入電壓,Uo為直流輸出電壓,即:Uo為濾波電容兩端電壓uc的平均值。
在此順便說明:由于電容兩端的電壓變化增量ΔU相對于輸出電壓Uo來說非常小,為了簡單,我們這里把Uo當成常量來處理。
對(1-136)式進行積分得:

式中i(0)為初始電流(t = 0時刻流過電感L的電流),即:控制開關K1剛接通瞬間,流過電感L的電流,或稱流過電感L的初始電流。從圖1-35中可以看出i(0)= Ix 。
當控制開關K由接通期間Ton突然轉換到關斷期間Toff的瞬間,流過電感L的電流iL達到最大值:

(1-139)和(1-140)式就是計算推挽式變壓器開關電源輸出電壓的表達式。式中,Uo為推挽式變壓器開關電源輸出電壓,Ui為推挽式變壓器開關電源輸入電壓,Up為推挽式變壓器開關電源開關變壓器次級線圈N3繞組的正激輸出電壓,Up-為推挽式變壓器開關電源開關變壓器次級線圈N3繞組的反激輸出電壓,n為開關電源次級線圈N3繞組與初級線圈N1繞組或N2繞組的匝數比。
根據上面分析結果,(1-138)式可以寫為:

由(1-75)式可知,當控制開關K1、K2的占空比均為0.5時,Upa與Upa-基本相等,由此我們也可以認為Up與Up-基本相等。
由于,當控制開關K1、K2的占空比均為0.5時,(1-141)式和(1-142)式的計算結果為0。因此,當控制開關K1、K2的占空比均為0.5時,推挽式變壓器開關電源經整流后輸出的電壓波形基本上是純直流,沒有交流成分,輸出電壓Uo等于最大值Up,因此,可以不需要儲能電感濾波。
但是,如果要求輸出電壓可調,推挽式變壓器開關電源的兩個控制開關K1、K2的占空比必須要小于0.5;因為推挽式變壓器開關電源正反激兩種狀態都有電壓輸出,所以在同樣輸出電壓(平均值)的情況下,兩個控制開關K1、K2的占空比相當于要小一倍。由此可知,當要求輸出電壓可調范圍為最大時,占空比最好取值為0.25。
當兩個控制開關K1、K2的占空比取值均為0.25時,Upa = 3Upa-,由此我們也可以認為Up等于3Up-。把上面已知條件代入(1-1
42)式,
可求得:

(1-143)、(1-144)、(1-145)式就是計算推挽式變壓器開關電源儲能濾波電感和濾波輸出電壓的表達式(D為0.25時)。式中Uo為推挽式變壓器開關電源輸出電壓,Ui為推挽式變壓器開關電源輸入電壓,T為控制開關的工作周期,F為控制開關的工作頻率,n為開關電源次級線圈N3繞組與初級線圈N1繞組或N2繞組的匝數比。
同理,(1-143)、(1-144)、(1-145)式的計算結果,只給出了計算推挽式變壓器開關電源儲能濾波電感L的中間值,或平均值,對于極端情況可以在平均值的計算結果上再乘以一個大于1的系數。





