【導讀】鑒于EMI可能在后期嚴重阻礙設計進度,浪費大量時間和資金,因此必須在設計之初就考慮EMI問題。開關模式電源(SMPS)是現代技術中普遍使用的電路之一,在大多數應用中,該電路可提供比線性穩壓器更大的效率。
鑒于EMI可能在后期嚴重阻礙設計進度,浪費大量時間和資金,因此必須在設計之初就考慮EMI問題。開關模式電源(SMPS)是現代技術中普遍使用的電路之一,在大多數應用中,該電路可提供比線性穩壓器更大的效率。但這種效率提高是有代價的,因為SMPS中功率金屬氧化物半導體場效應晶體管(MOSFET)的開關會產生大量EMI,進而影響電路可靠性。EMI主要來自不連續的輸入電流、開關節點上的快速壓擺率以及由電源環路中寄生電感引起的開關邊沿額外振鈴。
圖1以降壓轉換器拓撲為例,說明了不同頻帶下各個因素的影響。隨著設計壓力不斷提升,通過提高開關頻率來降低尺寸和成本,以及通過增大壓擺率來提高效率,使EMI問題變得更加嚴重。因此,有必要采用不影響電源設計、同時具有成本效益且易于集成的EMI緩解技術。

圖1:SMPS中的EMI源示例。
什么是EMI?
在要求電磁兼容性(EMC)的系統中,設計時應降低干擾源組件的干擾性和易受干擾的組件的敏感性。當終端設備制造商集成來自不同供應商的組件時,確保具有干擾性的組件和易受干擾的電路能夠互不影響的唯一方法是建立一套共同的規則,其中,具有干擾性的組件的干擾性被限制在一定范圍之內,使得易受干擾的電路能夠在此范圍內降低影響。
這些規則是根據業界通用規范(如適用于汽車行業的國際無線電干擾特別委員會CISPR25和適用于多媒體設備的CISPR32)建立的。CISPR標準決定了任何EMI緩解技術的最終性能,因此對于EMI設計至關重要。由于SMPS是典型的電磁干擾源,因此本白皮書的重點是討論如何減少此類干擾。
除了解給定應用的相應標準之外,了解如何測量EMI也很重要,這將幫助您深入了解如何降低EMI。EMI測量通常分為傳導EMI測量和輻射EMI測量,顧名思義,這同時說明了EMI的測量方法和產生機理。盡管傳導發射通常與較低的頻率(<30MHz)相關,輻射發射通常與較高的頻率(>30MHz)相關,但這兩者之間的區別并不是那么簡單,因為傳導頻率范圍和輻射頻率范圍有所重疊。
傳導發射測量旨在量化從器件產生并返回到其電源的EMI。對于許多應用而言,降低這些發射至關重要,因為同一電源線通常都連接著許多其他敏感電路。在現代汽車中,長線束的數量不斷增加,因此降低長線束的傳導EMI尤為重要。
圖2顯示了用于傳導發射的通用測試設置,包括電源、線路阻抗穩定網絡(LISN)、EMI接收器、電源線和被測器件(DUT)。LISN扮演著關鍵角色,可充當低通濾波器,確保EMI測量的可重復性和可比性,并為DUT提供精確的阻抗。圖2還說明了將傳導發射細分為共模(CM)電流和差模(DM)電流。DM電流在電源線與其返回路徑之間流動,是較低頻率范圍內的主要因素。CM電流在每條電源線與接地之間流動,是較高頻率范圍內的主要因素。

圖2:用于傳導發射測量的通用測試設置,其中DM和CM環路分別以青色和紅色突出顯示。
輻射EMI測量的設置與傳導EMI測量類似,主要區別在于前者的EMI接收器不是直接連接到LISN,而是連接到附近的天線。SMPS中的輻射能量來自產生磁場的快速瞬態電流環路以及產生電場的快速瞬態電壓表面。由于產生輻射磁場的電流環路也產生DM傳導發射,并且產生輻射電場的電壓表面也產生CM傳導發射,因此許多EMI緩解技術都可以降低傳導發射和輻射發射,但可能專門針對其中一項。
通常,通過大型無源濾波器來緩解較低頻率的發射,會增加解決方案的電路板面積和成本。高頻發射在測量、建模和緩解方面面臨著不同的挑戰,這主要是其寄生性質導致的。常見的高頻發射緩解技術包括控制壓擺率和減小寄生效應。圖3總結了本白皮書中包含的緩解技術、這些技術適用的頻帶以及CISPR25標準中的頻率范圍示例。

圖3:EMI緩解技術匯總。
降低EMI的常規方法
當其他系統共享公共物理觸點時,由SMPS中不連續電流產生的輸入電壓紋波可能會傳導到這些系統中。如果沒有適當的緩解措施,那么過大的輸入或輸出電壓紋波可能會影響電源、負載或相鄰系統的運行。過去,您可以使用基于無源電感電容器(LC)的EMI濾波器來顯著減小輸入紋波,如圖4所示。LC濾波器可提供滿足EMI規格所必需的衰減。代價是會使系統的尺寸和成本增大(具體取決于所需的衰減),這將降低總功率密度。此外,用于輸入EMI濾波器設計的大型電感器會因其自諧振頻率較低而在高于30MHz的頻率范圍內無法衰減,從而需要鐵氧體磁珠等附加組件處理高頻衰減。

圖4:典型的用于降低EMI、基于LC的無源濾波器,以及實現的衰減。
緩解EMI的另一種傳統方法是使用擴頻(或時鐘抖動)來調制SMPS的開關頻率,這將降低與基本開關頻率及其諧波相關的頻譜峰值,但代價是使本底噪聲增大,如圖5所示。

圖5:采用擴頻技術和未采用擴頻技術的SMPS頻譜示例。
擴頻是一項有吸引力的技術,因為它易于實現并且您可以將其與其他EMI降低方法結合使用。但該技術不是萬靈藥,因為它只能相對降低現有的EMI,并且根據其特性,其性能會在開關頻率較低時降低。此外,您通常只能將擴頻應用于單個頻帶,原因將在下一節中說明。
為了更大程度地減小濾波電感器的尺寸,您可以為SMPS設計選擇更高的開關頻率。不過,對于切換器操作,需避免使用敏感頻帶。例如,以前汽車電源解決方案的推薦開關頻率一直處于AM以下頻帶(約400kHz)。通過選擇較高的開關頻率來顯著減小電感器尺寸,意味著您必須避開整個AM頻帶(525kHz至1,705kHz),從而在更嚴格的汽車EMI頻帶上不會產生基本的開關雜散。
德州儀器(TI)開關轉換器的開關頻率高于1.8MHz,可以滿足EMI頻帶的要求。為降低開關損耗而提高開關頻率的措施對開關轉換上升和下降時間的要求更為嚴格。不過,具有很短上升和下降時間的開關節點即使在接近第100次諧波的高頻率下,也能保持較高的能量(如圖6所示),這再次突出了高效率與低EMI之間的權衡。

圖6:具有不同上升時間的方波的EMI圖。
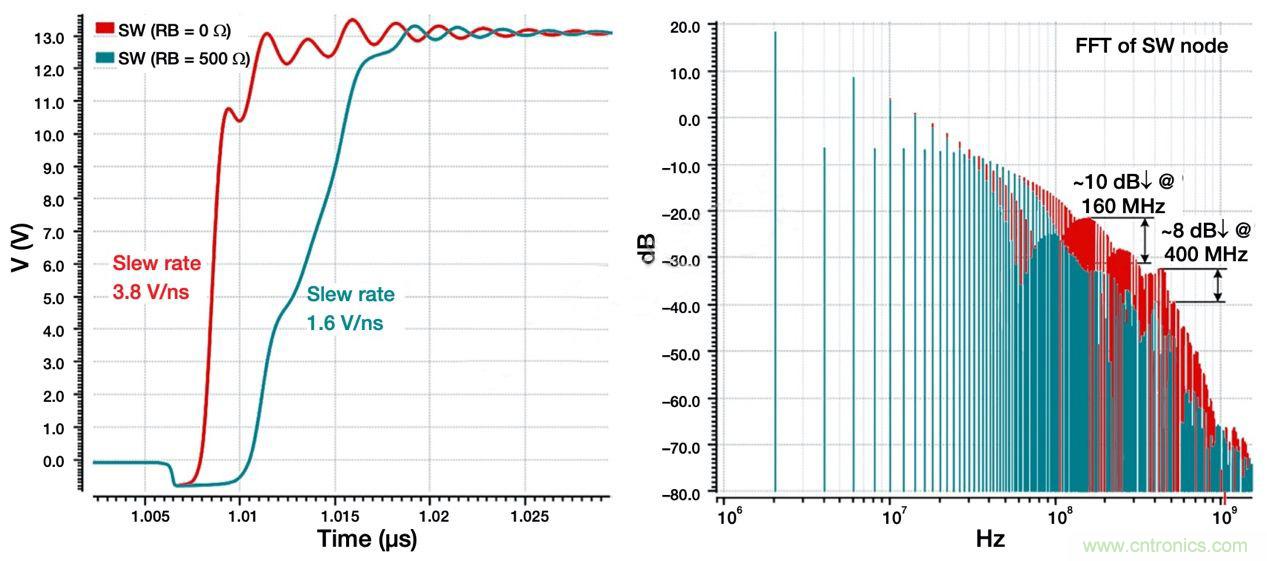
由于直流/直流轉換器的電源路徑中存在寄生電感,因此高壓擺率還會導致高頻率開關節點振鈴,這進一步增加了振鈴頻率及更高頻率下的發射。圖7顯示了壓擺率和開關節點相關振鈴如何影響發射。限制由開關轉換引起的EMI發射的傳統方法是,通過在開關器件的柵極驅動路徑中特意添加電阻來降低EMI發射的速度。這導致轉換發生得更慢,從而使發射更快地滾降,并且使發射在振鈴頻率下降低8至10dB。不過,這種開關邊沿的減慢會導致開關轉換器的峰值電流效率降低2%至3%。

圖7:不同的開關節點壓擺率和相關的振鈴對高頻發射的影響。更低的壓擺率會影響30MHz至200MHz頻帶的EMI滾降,而更低的振鈴會在約400MHz的振鈴頻率下影響EMI。
降低低頻發射的創新技術
我們來看看TI在構建其轉換器和控制器時使用的幾種技術,這些技術可在效率、EMI、尺寸和成本之間實現基本平衡。
擴頻
擴頻技術利用能量守恒原理,通過將能量分散在多個頻率上來減小EMI峰值。然而,敏感電路“面臨”的峰值能量可能不會降低;它取決于敏感電路帶寬和頻率調制方式之間的關系。測量EMI時,頻譜分析器屬于敏感電路,而工業標準規定了分辨率帶寬(RBW)。因此,以更有效的方式根據實際標準調制頻率非常重要。一般的經驗是,使調制頻率fm約等于目標RBW,擴展帶寬ΔfC約為±5%至±10%。圖8在時域和頻域中說明了這些參數。

圖8:時域和頻域中的擴頻參數fm和ΔfC。
CISPR25等標準中通常將fm設置在9kHz左右以優化低頻頻帶,這也恰好在可聞范圍內。為了解決該問題,您可以通過假隨機方式進一步實施三角調制,從而傳播可聞能量,同時不會對傳導和輻射EMI性能造成重大影響。
圖9在時域和頻域中說明了該調制曲線,這是同步降壓/升壓轉換器TPS55165-Q1的一個特性。

圖9:在每個調制周期結束時,通過假隨機地調制三角波來降低可聞噪聲。
EMI不限于單個頻帶(因此不限于單個RBW),而是存在于多個頻帶中,這就帶來一個困境,因為擴頻通常只針對單個頻帶進行改善。一種稱為雙隨機擴頻(DRSS)的數字擴頻技術為這個問題帶來了新的解決方案。DRSS的基本原理是疊加兩條調制曲線,每條曲線針對不同的RBW。
圖10顯示了時域中的DRSS調制曲線,其中的三角形包絡針對較低的RBW,而疊加的假隨機序列針對較高的RBW。

圖10:DRSS的時域調制曲線。
擴頻技術適用于非隔離式和隔離式拓撲,因為兩者的EMI源相似,擴頻可提供相同的優勢。
有源EMI濾波
為了顯著改善低頻頻譜中的發射,LM25149-Q1降壓控制器采用了有源EMI濾波方法。集成有源EMI濾波器通過充當有效的低阻抗分流器,可降低輸入端的DM傳導發射。圖11顯示了降壓控制器的有源EMI濾波器如何連接到輸入線。感應和注入引腳通過各自的電容器連接到輸入端。有源EMI濾波器塊中的有源元件會放大感應到的信號,并通過注入電容器注入適當的反極性信號來顯著降低輸入線上的總體干擾。這減輕了所需無源元件的過濾負擔,從而減小了這些元件的尺寸、體積和成本。

圖11:有源EMI濾波器,其中顯示了感應和注入電容器以及用于補償的組件。
圖12顯示了在400kHz開關頻率下工作的降壓轉換器的EMI測量結果,其中比較了有源和無源EMI濾波方法。為了有效滿足CISPR25 5類頻譜屏蔽要求,無源EMI濾波器需要一個3.3μH DM電感器和一個10μF DM電容器。有源濾波方法通過一個僅1μH的DM電感器以及100nF的感應和注入電容器,可實現同樣有效的衰減。這有助于將無源濾波器的尺寸和體積分別減小到原始值的43%和27%左右。對于大電流轉換器,可以通過降低電感器直流電阻來進一步降低成本和提高效率。

圖12:針對12V輸入、5V/5A輸出降壓轉換器使用無源和有源濾波所實現的EMI衰減,并比較了這兩種方法中的濾波用無源電感器。
消除繞組
與非隔離式轉換器不同,跨越隔離邊界的額外發射路徑是導致隔離式轉換器共模(CM)EMI的主要原因。圖13顯示標準反激式轉換器中的隔離變壓器存在寄生電容。CM電流可通過與每個開關節點關聯的寄生電容從初級側直接流入大地。CM電流還由于繞組之間的寄生電容而從初級側流至次級側,從而導致測量的CM EMI增大。通常,您可以通過在輸入電源路徑中使用較大的CM扼流圈來降低這種額外的干擾。

圖13:在反激式轉換器中產生寄生效應的CM EMI。
為了幫助更大程度地減小無源濾波器件的尺寸,用于高功率密度5V至20V交流/直流適配器且采用硅FET的65W有源鉗位反激式參考設計針對隔離式轉換器采用了消除繞組和屏蔽的方法。如圖14所示,一種經改進的內部變壓器結構在內部初級層和次級層之間插入了一個額外的輔助繞組層(以黑色顯示),以實現CM平衡。輔助CM平衡層屏蔽了內部的半初級層與次級層之間的界面,有助于生成消除CM電壓,以消除來自外部半初級層的CM注入。通過均衡從輔助繞組和初級外層到次級層的寄生電容,可幫助消除從外部半初級層注入到次級層的CM電流(通過從消除層注入反相CM電流)。凈效應(流入次級層的CM電流幾乎為零)降低了CM發射,從而使用超少的CM濾波器件即可讓設計滿足EMI頻譜標準要求。

圖14:使用屏蔽和消除繞組來降低反激式轉換器中的EMI。
降低高頻發射的創新技術
到目前為止,我們介紹的EMI緩解技術通常可以減低低頻發射(<30MHz),同時相應地減少了所需的無源濾波量,以及相關的尺寸、體積和成本。現在,讓我們來看看旨在緩解高頻發射(>30MHz)的技術。
HotRod™封裝
降低高頻發射的主要方法之一是更大程度地減小電源環路電感。HotRod封裝翻轉硅片并將其直接放置在引線框上,從而更大程度地減小由運行開關電流的引腳上的鍵合線引起的寄生電感。圖15顯示了HotRod封裝的結構和優勢。除改善電源環路電感之外,HotRod式封裝還有助于降低電源路徑中的電阻,從而提高效率并減小解決方案尺寸。

圖15:標準QFN,帶接合線,可電氣連接至裸片(a);HotRod封裝,引線框和裸片之間帶有銅柱和倒裝芯片互連(b)。
采用HotRod封裝器件的另一項優勢是,這些器件易于實現并行輸入路徑引腳排列(直流/直流轉換器輸入電容器的布局布置)。通過優化直流/直流轉換器的引腳排列使輸入電容器的布局對稱,輸入電源環路產生的反向磁場就會處于對稱環路中,從而更大程度地降低對附近系統的發射。并行輸入路徑可進一步降低高頻EMI,尤其是在更嚴格的FM頻帶中。
增強型HotRod™ QFN
增強型HotRod四方扁平無引線(QFN)封裝可提供HotRod封裝的所有EMI降低功能,并且具有開關
節點電容更低的額外優勢,從而更大程度降低了振鈴。與HotRod封裝相比,在采用增強型HotRodQFN封裝的器件中,輸入電壓(VIN)和接地(GND)引腳。
集成式輸入旁路電容器
如前所述,由于更高的開關節點振鈴,較大的輸入電源環路會導致在高頻頻帶上產生更高的發射。在器件封裝內集成高頻輸入去耦電容器有助于更大程度地降低輸入環路寄生效應,從而降低EMI。
有效的壓擺率控制
盡管有上述技術,但在某些設計中,高頻EMI(60MHz至250MHz)可能仍會超出指定的標準限制。緩解和提高裕度以滿足行業標準要求的一種方法是,使用一個電阻器與開關轉換器的自舉電容器串聯。使用電阻器可以降低開關邊沿的壓擺率,從而降低EMI,但也會降低效率。
結束語
電子產品的快速發展為電源轉換器的設計帶來了巨大的壓力,復雜的系統需要裝入電源轉換器越來越小的空間。各個敏感系統彼此靠近,難以抑制EMI。在設計電源轉換器必須格外小心,以符合標準機構規定的限制,從而確保關鍵系統可以在充滿噪聲的環境中安全運行。
(來源:德州儀器,作者:Yogesh Ramadass,Ambreesh Tripathi,Paul Curtis)
(來源:德州儀器,作者:Yogesh Ramadass,Ambreesh Tripathi,Paul Curtis)
免責聲明:本文為轉載文章,轉載此文目的在于傳遞更多信息,版權歸原作者所有。本文所用視頻、圖片、文字如涉及作品版權問題,請電話或者郵箱聯系小編進行侵刪。




