中心論題:
- 檢測原理及探頭的設計
- 檢測電路設計
- 實驗結果
解決方案:
- 發射電路產生具有足夠功率的20kHz的正弦激勵信號
- 接收電路中模擬開關的用來檢測接收信號的相位移
- 距離測量裝置由裝有霍爾傳感器的滑輪組及其相應的輔助電路組成
所謂檢查孔是指城市中被公路或人行道路面所覆蓋的各種地下管道中為方便管道維護所預留的出入口。由于年代久遠等原因,有關這些檢查孔位置的資料往往不是很全,而檢查孔本身又會被路面瀝青或其它物體所覆蓋,這就給城市管道的維護檢修帶來了極大的困難。為了在不需要大規模開挖的情況下在幾千米的管道范圍內準確地找到所需要的檢查孔位置,一種以閉路電視設備為核心的檢查孔定位系統曾經在一些國家得到了應用。但是這種系統不僅價格昂貴,而且操作復雜,工作時需要由人工在顯示器上根據圖像進行實際的判斷。所以對于負責地下管道維護的市政單位來說,急需一種既簡單又經濟實用的檢查孔定位檢測系統。
利用電磁感應原理的測量技術在工業中的應用由來已久。渦流無損檢測技術可以用來對導電材料的材質、厚度、位移等進行在線檢測。石油工業中廣泛應用的感應測井技術可以對井下地層的物理性質進行分析,從而獲得地下的含油氣參數。根據同樣原理設計的檢查孔定位系統由地下和地面兩部分組成。地下部分由感應探頭及其相應的電路組成;地面部分由以霍爾傳感器為主的距離測量裝置及以便攜式計算機為主的數據采集處理裝置組成。地面部分和地下部分通過電纜聯接。工作時,探頭由掛在它前端的鋼纜拖拉以提供在地下管道中前進的動力。根據探頭位置所在的環境介質的電導率及當時的距離信號,就可以得到相應的數據處理結果。由于在大多數情況下,地下管道周圍土壤的電導率一般在0.01s/m~0.1s/m之間,而在充滿空氣的檢查孔中,探頭周圍介質的電導率會下降到0.005s/m以下,所以這種方法可以很準確地為被覆蓋的檢查孔定位。
檢測原理及探頭的設計
感應探頭中設計有發射和接收線圈,如圖1所示。當發射線圈T通有恒定的交流電流時,由于電磁感應的作用,在接收線圈R中將會產生一個與發射電流頻率相同、相位滯后π/2的感應電動勢ex。同時發射線圈T上的交變電流周圍形成的交變電磁場會在探頭周圍介質中產生與線圈同軸的渦流電流。同樣,由交變渦流電流所形成的電磁場作用到接收線圈R上,就會產生一個與探頭周圍介質的導電率有關的感應電動勢eR。這個由二次交變電磁場作用所產生的電動勢就是定位系統所需要的檢測信號。
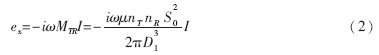
由于直接耦合作用在接收線圈R上產生的磁通量可以表示為:

式中,nT和nR分別為發射線圈和接收線圈的匝數;S0為線圈的橫截面積;I為發射線圈中的電流;μ為介質磁導率; D1為T、R兩線圈之間的距離;MTR為兩線圈互感系數。所以由此而產生的感應電動勢為:

式中,ω為發射電流的頻率。由式(2)可以看出,ex是一個落后于發射電流π/2且與探頭周圍介質導電率無關的電勢信號。在系統的接收信號中,它表現為一個幅值較大的背景噪音。
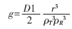
在發射頻率不高、介質導電率較小的條件下,可忽略電磁波傳播效應和渦流損耗,用幾何因子理論對接收線圈中的二次感應電動勢進行計算,將同軸于z的兩線圈周圍介質中的感應渦流分割成以探頭軸心為圓心、半徑為r、距線圈T和R距離分別為ρT和ρR的小單元環電流。將探頭周圍介質看作是均勻無限介質,把所有的單元環感生的電動勢疊加在一起得到:

這表明當發射電流恒定以后,k只與線圈的結構參數有關,故其被稱為線圈系數。

當D1確定后,g只取決于單元環相對于線圈系的空間幾何位置,故其被稱為單元環幾何因子。由式(3)可將電導率定義為:

當σ<1時,式(5)中的積分部分也小于1。實驗中取頻率為20kHz時,即使將D1減少到7~8cm,式(5)所表示的比值也只能在0.8%左右。
可以通過增加一個同軸且繞向相反的補償線圈B來抵消直耦信號的影響。為了達到這個目的,由式(2)可知,發射線圈和補償線圈的匝數及位置應該滿足:

通常情況下,地下管道中介質的實際電導率非常小。為了提高檢測信號的信噪比,可以適當增加接收線圈的匝數,但過多的匝數會增加線圈的尺寸并降低檢測的靈敏度。同時適當增加線圈的截面積也是提高信號信噪比的一個辦法,但是也要受到幾何因子理論中“線圈的尺寸要大大小于它們之間的距離”這一假設的限制。
檢測電路設計
整個系統分為地上和地下兩部分,其基本組成結構如圖2所示。兩大部分之間通過電纜相連接。地下部分中包括裝有線圈的探頭以及分別屏蔽在兩個金屬盒中的發射電路和接收電路。地下部分的所有裝置全部固定安裝在一節經過防水處理的直徑為8cm左右的聚氯乙稀管內。為了防止對探頭檢測過程的干擾,設計時應該充分考慮地下部分的電路及導線的固定和屏蔽問題。
a.發射電路
發射電路的主要功能是產生具有足夠功率的20kHz的正弦激勵信號,同時要引出一路參考信號至接收電路,作為模擬開關的觸發控制。由于輸出功率較大,發射電路中必須解決其散熱問題。
b.接收電路
盡管經過補償線圈的抵消作用,接收信號中仍包含有較大的直接耦合部分。由于該部分電勢在檢測結果中一般保持不變且具有π/2相滯后的特征,所以探頭周圍介質電導率的變化就會由實際接收信號中的相位移變化體現出來。
接收電路中模擬開關的主要功能是用來檢測接收信號的相位移。來自發射電路的同頻率的參考信號作為模擬開關的觸發控制,通過模擬開關的接收信號部分后再經過低通濾波器濾去交流分量,得到的電壓信號就是一個和輸入信號相角相關的量,實際上也是一個與介質導電率σ相關的量。適當調節參考信號的相位,可以得到較高的檢測靈敏度。
c.地上部分
檢測信號通過信號電纜到達地面后,首先需要濾掉傳輸過程中所帶來的噪音。檢測信號輸入通道的增益和零點可以分別進行連續調節,以便適應不同的地下管道及環境。
距離測量裝置由裝有霍爾傳感器的滑輪組及其相應的輔助電路組成。在一個塑料滑輪上裝有四個小磁鐵,測試電纜通過該滑輪放入井下。所以當滑輪旋轉時,可通過安裝在滑輪旁的霍爾傳感器的脈沖個數換算出電纜長度值,作為距離信號送入計算機。
將一臺帶有PCMCIA A/D插卡的便攜計算機作為系統的主機。應用軟件中首先用中值濾波法將地下傳來的檢測信號進行數字濾波,再將按時間采樣得到的檢測信號與距離信號相對應。結果可存為文件,同時也可以進行實時的圖形顯示。當采樣數據發生滿足事先設定要求的突變時,將會有相應的數據顯示在界面上。
實驗結果
a.實驗室實驗結果
實驗表明,系統分辨率隨線圈距離D1的增加而下降,綜合考慮系統的檢測靈敏度和信噪比等因素,實驗樣機的D1確定為0.5m。在室內環境下,樣機的相位分辨率為1°,幅值分辨率為0.5%。
由于直耦電動勢的值正比于ω,而渦流產生的二次電動勢正比于ω2,因此當ω減小時,即使是在周圍介質不變的情況下,檢測信號中的相位變化也會減小,因此會降低信號的信噪比。
用不同介質對樣機進行測試,實驗表明,當頻率低于5kHz時,信號輸出對空氣、干沙、濕沙等不同介質響應的區別已經很不明顯。實驗也表明在頻率降低時,可以通過增加發射電路輸出功率的方法來改善測量結果。所以在確保靈敏度、同時使系統適應大多數檢測環境的情況下,實驗樣機發射電路輸出信號的頻率取為20kHz,電流幅值取為1A。
b.現場實驗結果
現場實驗在某街道中的一段長約150m、直徑約8英寸的水泥下水管道中進行。管道在150m距離起始和結束處各有一處檢查孔A、C。已知在二者之間還有一處檢查孔B存在,但其準確位置已經被街道覆蓋,無法確定。
在定位檢測前,先將一帶有掛鉤的高壓噴嘴由A孔打到C孔,同時也對管道進行了一次沖洗操作。由掛鉤拖拽探頭沿管道前進以進行檢測。由于距離檢測的方式特殊,探頭前進的速度不要求恒定。
現場實驗的結果如圖3所示。圖中曲線起始端和結束端的兩處低電平為兩已知檢查孔A和C。63m處的低電平則是需要被定位的檢查孔B的具體位置。另外,兩處的高電平表明該處有某種較高導電率的介質存在。后來發現:在36m處有一段多年前因管道維修所更換的PVC管道,而52.5m處則是另一段因同樣原因所更換的鋼管。

因為前進中的地下設備在鋼管接頭處受到了嚴重碰撞,由圖3可以看出此后的輸出信號略有漂移。這應該是由碰撞導致的內部器件相互位置的微小變化所引起的,但是并沒有對檢測結果造成實際影響。
現對全文總結如下:
a.利用電磁感應原理實現了對地下管道檢查孔的定位測量,系統使用方便快捷,設備簡單經濟,測試結果可靠,可以大大減輕市政維修的工作量。
b.定位測量只需要對介質導電率的突變進行記錄,不需要根據導電率的具體數值進行分析,所以實際系統的結構組成十分簡單。
c.采用同樣的手段可以對地下不同設備或者地上設施中工作人員難以進入區域的介質變化方便地進行測量。
d.定位中的距離測量是根據隨探頭放入地下的電纜長度來計算的。這樣就給走向不沿街道且非直線的地下管道的定位測量帶來一定困難。此時可以考慮在探頭中加入電子陀螺元件。
e.如果對系統實現數字化,可以使系統具有可變的發射頻率,從而大大提高系統對測試環境的適應能力,同時也能提高信號傳輸的抗干擾能力。


