- 旁路電容的產生與等效計算
下面的小節將詳細討論這些缺陷。
1、電容的等效串聯電阻和引腳電感
等效串聯電阻像一個電阻一樣,與電容串聯。引腳電感像一電感線圈一樣,與同一個電容串聯。它們共同發揮作用,降低了電容作為一個旁路元件的效果。
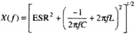
作為頻率的一個函數,電容的完整阻抗方程是:

C=電容,F
L=引腳電感,H
X(F)=在頻率F(HZ)時的阻抗大小,Ω
上式計算了圖8.9中電容C2和電容陣列C3的曲線。圖8.9中假設C2和C3電容陣列的每個元件的ESR都為0.1歐,總的電路板面積為10IN的2次方,電源的和地之間有0.01IN厚的FR-4電介質。

生產商的數據手冊上并不總是有ESR參數,但它是非常重要的。不要相鄰銷售人員告訴你的指標,要拿到書面形式的說明。
要測量ESR,可以使用圖6.14所示的測量裝置,與測量一個端接電阻的電感方法相同。
[page]圖8.11的典型畫出了一個實際的0.1UF旁路電容的階躍響應。響應分別采用10NS/刻度和2NS/刻度繪出。兩個曲線圖分別把測試夾具的開路響應和被測電容的響應疊加在一起。

1、起初的2NS是一個短的尖峰。產生這個尖峰是由于引腳電感的作用。我們可以用尖峰下的面積來估算引腳電感。
其中:RS=測試夾具的源端阻抗,Ω
A=尖峰下的面積V-S
△V=測試夾具的開路階躍電壓,V
L=引腳電感,H
2、緊接在尖峰之后的波形相對平坦,偏移在零以上。這種形態是由電容的ESR引起的,在這個時刻,電容還沒有開放充電。在這個時刻,電容的一個好模型是只有ESR直接連接到地。由測試夾具的源端阻抗插進電容的ESR形成的電阻分壓器,所產生的電壓近似與ESR成正比。
其中:RS=測試夾具的源端電阻,Ω
X=尖峰后測量的階躍電壓,V
△V=測試夾具的開路階躍電壓,V
在階躍保持之后,慢慢地傾斜增加。這是由于電容慢慢地充電的效果。充電速率DV/DT等于充電電流除以電容。充電電流約等于測試電路的開路電壓除以源端阻抗。

其中:R=測試夾具的源端電阻,Ω
X=尖峰后測量的階躍電壓,V
△V=測試夾具的開路階躍電壓,V
DV/DT=斜坡的充電速率,V/S
C=電容,F
當查看尖峰時候,記住引腳電感和ESR都是在該時刻起作用的。如果首先計算ESR,然后當測量尖峰下面積時即可減去它的影響。圖8.11中的2NS/刻度上顯示的三條線分別是測試夾具開路波形、直接測量響應波形、直接測量響應的副本按比例減去開路波形的副本。這種減法解決了ESR的影響。這里的減法和面積測量是使用TEKTRONX11403數字示波器的功能進行的。




